相关习题
 0  314988  314996  315002  315006  315012  315014  315018  315024  315026  315032  315038  315042  315044  315048  315054  315056  315062  315066  315068  315072  315074  315078  315080  315082  315083  315084  315086  315087  315088  315090  315092  315096  315098  315102  315104  315108  315114  315116  315122  315126  315128  315132  315138  315144  315146  315152  315156  315158  315164  315168  315174  315182  366461 

科目: 来源:北京市2016-2017学年度第二学期七年级数学期中试卷 题型:解答题

你知道为什么任何无限循环小数都可以写成分数形式吗?下面的解答过程会告诉 你原因和方法.

(1)阅读下列材料:

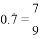
问题:利用一元一次方程将化成分数.

,可知

.(请你体会将方程两边都乘以10起到的作用)

可解得 ,即 .填空:将写成分数形式为

(2)请仿照上述方法把小数化成分数,要求写出利用一元一次方程进行解答的过程.

查看答案和解析>>

科目: 来源:广西南宁市2016-2017学年七年级上学期期中段考数学试卷 题型:单选题

如果+15元表示收入15元,那么支出20元应记作( )元.

A. 20+ B. +20 C. 20- D. -20

查看答案和解析>>

科目: 来源:广西南宁市2016-2017学年七年级上学期期中段考数学试卷 题型:单选题

这些数中,是正数的有( ).

A. 2个 B. 3个 C. 4个 D. 5个

查看答案和解析>>

科目: 来源:广西南宁市2016-2017学年七年级上学期期中段考数学试卷 题型:单选题

的倒数是( )

A. B. - C. 3 D. -3

查看答案和解析>>

科目: 来源:广西南宁市2016-2017学年七年级上学期期中段考数学试卷 题型:单选题

下列式子中不是同类项的是( )

A. B. C. D.

查看答案和解析>>

科目: 来源:广西南宁市2016-2017学年七年级上学期期中段考数学试卷 题型:单选题

下列运算中正确的是( )

A. B. C. D.

查看答案和解析>>

科目: 来源:广西南宁市2016-2017学年七年级上学期期中段考数学试卷 题型:单选题

有理数a,b在数轴上的位置如图所示,则下列式子不成立的是( ).

A. B. C. D. b >a

查看答案和解析>>

科目: 来源:广西南宁市2016-2017学年七年级上学期期中段考数学试卷 题型:单选题

已知:,则代数式xy的值是( )

A. xy=6 B. xy=0 C. xy=1 D. xy=-6

查看答案和解析>>

科目: 来源:广西南宁市2016-2017学年七年级上学期期中段考数学试卷 题型:单选题

太阳半径约为696000 km, 696000用科学计数法表示为( )

A. 6.96×104 B. 69.6 ×104 C. 6.96×105 D. 6.96×106

查看答案和解析>>

科目: 来源:广西南宁市2016-2017学年七年级上学期期中段考数学试卷 题型:单选题

如果规定符号“※”的意义是:a※b=,那么4※2的值等于( ).

A. 4 B. 2 C. 3 D. -4

查看答案和解析>>

同步练习册答案