相关习题
 0  314989  314997  315003  315007  315013  315015  315019  315025  315027  315033  315039  315043  315045  315049  315055  315057  315063  315067  315069  315073  315075  315079  315081  315083  315084  315085  315087  315088  315089  315091  315093  315097  315099  315103  315105  315109  315115  315117  315123  315127  315129  315133  315139  315145  315147  315153  315157  315159  315165  315169  315175  315183  366461 

科目: 来源:北京市2016-2017学年度第二学期七年级数学期中试卷 题型:填空题

已知,A为象限内一点,且点的A坐标是二元一次方程的一组解,请你写出一个满足条件的点A坐标 ___________(写出一个即可).

查看答案和解析>>

科目: 来源:北京市2016-2017学年度第二学期七年级数学期中试卷 题型:解答题

已知:如图,∠ADE=∠B,∠DEC=115°.求∠C的度数.

查看答案和解析>>

科目: 来源:北京市2016-2017学年度第二学期七年级数学期中试卷 题型:解答题

计算(1) (2)

查看答案和解析>>

科目: 来源:北京市2016-2017学年度第二学期七年级数学期中试卷 题型:解答题

求下列各式中的的值:(1) x3-2=0 ;(2)

查看答案和解析>>

科目: 来源:北京市2016-2017学年度第二学期七年级数学期中试卷 题型:解答题

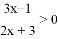
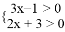
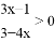
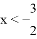
求下列各式中的的取值范围:(1)(2)

查看答案和解析>>

科目: 来源:北京市2016-2017学年度第二学期七年级数学期中试卷 题型:解答题

已知:如图,∠1=∠2,∠C=∠D。

求证:∠A=∠F。

证明:∵∠1=∠2(已知),

又∠1=∠DMN(_______________),

∴∠2=∠_________(等量代换),

∴DB∥EC( ),

∴∠DBC+∠C=1800(两直线平行 , ),

∵∠C=∠D( ),

∴∠DBC+ =1800(等量代换),

∴DF∥AC( ,两直线平行),

∴∠A=∠F(

查看答案和解析>>

科目: 来源:北京市2016-2017学年度第二学期七年级数学期中试卷 题型:解答题

阅读下列材料:

,即

的整数部分为2,小数部分为.

请你观察上述的规律后试解下面的问题:

如果的小数部分为a,的整数部分为b,求的值.

查看答案和解析>>

科目: 来源:北京市2016-2017学年度第二学期七年级数学期中试卷 题型:解答题

按要求作图

(1)作BE∥AD交DC于E;

(2)连接AC,作BF∥AC交DC的延长线于F;

(3)作AG⊥DC于G.

查看答案和解析>>

科目: 来源:北京市2016-2017学年度第二学期七年级数学期中试卷 题型:解答题

已知:A(0,1)、B(2,0),C(4,3),

(1)在直角坐标系中画出△ABC;

(2)求△ABC的面积;

(3)设点P在x轴上,且△ABP与△ABC的面积相等,请直接写出点P的坐标.

查看答案和解析>>

科目: 来源:北京市2016-2017学年度第二学期七年级数学期中试卷 题型:解答题

先阅读下列第(1)题的解答过程

(1)解不等式

方法:根据“两数相除,同号为正”的有理数除法法则,将原不等式化为两个一次不等式去解;

【解析】
原不等式

解得

所以原不等式的解集:

请仿照上面的解法中的一种方法解答下面的不等式:解不等式

查看答案和解析>>

同步练习册答案