相关习题
 0  314992  315000  315006  315010  315016  315018  315022  315028  315030  315036  315042  315046  315048  315052  315058  315060  315066  315070  315072  315076  315078  315082  315084  315086  315087  315088  315090  315091  315092  315094  315096  315100  315102  315106  315108  315112  315118  315120  315126  315130  315132  315136  315142  315148  315150  315156  315160  315162  315168  315172  315178  315186  366461 

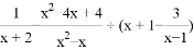
科目: 来源:四川外语学院重庆第二外国语学校2016-2017学年八年级下学期第二次月考数学试卷 题型:填空题

,则____________.

查看答案和解析>>

科目: 来源:四川外语学院重庆第二外国语学校2016-2017学年八年级下学期第二次月考数学试卷 题型:填空题

若关于的分式方程的解为正数,则的取值范围为____.

查看答案和解析>>

科目: 来源:四川外语学院重庆第二外国语学校2016-2017学年八年级下学期第二次月考数学试卷 题型:填空题

如图,在等腰直角△中, 为△内一点,且,将△绕点逆时针旋转得到△,连接的中点,连接.如果△的面积为,那么的长度为___________

查看答案和解析>>

科目: 来源:四川外语学院重庆第二外国语学校2016-2017学年八年级下学期第二次月考数学试卷 题型:解答题

解分式方程

查看答案和解析>>

科目: 来源:四川外语学院重庆第二外国语学校2016-2017学年八年级下学期第二次月考数学试卷 题型:解答题

如图,两条公路相交于点,在内部有两个村庄,现要在内部修建一个水库,使得该水库到两条公路距离相等,且到两个村庄的距离也相等.请通过尺规作图确定水库的位置.(要求:不写作法,保留作图痕迹,写出结论)

查看答案和解析>>

科目: 来源:四川外语学院重庆第二外国语学校2016-2017学年八年级下学期第二次月考数学试卷 题型:解答题

(1)因式分【解析】

(2)解不等式,并把它的解集表示在数轴上.

查看答案和解析>>

科目: 来源:四川外语学院重庆第二外国语学校2016-2017学年八年级下学期第二次月考数学试卷 题型:解答题

先化简,再求值:,其中满足

查看答案和解析>>

科目: 来源:四川外语学院重庆第二外国语学校2016-2017学年八年级下学期第二次月考数学试卷 题型:解答题

开学初,小芳和小亮去商店购买学习用品,小芳用元钱购买钢笔的支数是小亮用元钱购买笔记本的本数的2倍,已知每支钢笔的价格比每本笔记本的价格少2元.

(1)求钢笔和笔记本的单价;

(2)学校运动会期间,班主任拿出元班费给小芳,再次购买上述价格的钢笔和笔记本共件作为奖品,奖励给校运动会中表现突出的同学,其中笔记本的本数至少是钢笔支数的倍,请你帮助小芳设计出所有的购买方案.

查看答案和解析>>

科目: 来源:四川外语学院重庆第二外国语学校2016-2017学年八年级下学期第二次月考数学试卷 题型:解答题

如图,在中, 平分于点,过点于点,过点于点,交于点

(1)若,求的长;

(2)求证:

查看答案和解析>>

科目: 来源:四川外语学院重庆第二外国语学校2016-2017学年八年级下学期第二次月考数学试卷 题型:解答题

对任意一个正整数,如果,其中是正整数,则称为“矩数”, 的最佳拆分点.例如, ,则称是一个“矩数”, 的最佳拆分点.

(1)请判断为“矩数”吗?如果是,请求出其最佳拆分点,如果不是,请说明理由.

(2)把“矩数”与“矩数”的差记为,其中.例如, ,则.若“矩数”的最佳拆分点为与“矩数”的最佳拆分点为,当时,求的最大值.

查看答案和解析>>

同步练习册答案