相关习题
 0  315000  315008  315014  315018  315024  315026  315030  315036  315038  315044  315050  315054  315056  315060  315066  315068  315074  315078  315080  315084  315086  315090  315092  315094  315095  315096  315098  315099  315100  315102  315104  315108  315110  315114  315116  315120  315126  315128  315134  315138  315140  315144  315150  315156  315158  315164  315168  315170  315176  315180  315186  315194  366461 

科目: 来源:山东省蒙阴县2016-2017学年七年级下学期期末考试数学试卷 题型:选择题

已知实数,满足,则等于(  )

A. 3 B. -3 C. 1 D. -1

查看答案和解析>>

科目: 来源:山东省蒙阴县2016-2017学年七年级下学期期末考试数学试卷 题型:单选题

在平面直角坐标系中,将点(2,3)向上平移1个单位,再向左平移2个单位,所得到的点的坐标是( )

A. (-2,3) B. (-1,2) C. (0,4) D. (4,4)

查看答案和解析>>

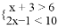
科目: 来源:山东省蒙阴县2016-2017学年七年级下学期期末考试数学试卷 题型:单选题

不等式组 的正整数解的个数是( )

A. 1 B. 2 C. 3 D. 4

查看答案和解析>>

科目: 来源:山东省蒙阴县2016-2017学年七年级下学期期末考试数学试卷 题型:单选题

填在下面各正方形中的四个数之间都有一定的规律 ,按此规律得出a,b的值分别为( )

A. 9, 10 B. 9, 91 C. 10, 91 D. 10, 110

查看答案和解析>>

科目: 来源:山东省蒙阴县2016-2017学年七年级下学期期末考试数学试卷 题型:填空题

已知为两个连续的整数,且,则_____.

查看答案和解析>>

科目: 来源:山东省蒙阴县2016-2017学年七年级下学期期末考试数学试卷 题型:填空题

,,则x+y的值是________.

查看答案和解析>>

科目: 来源:山东省蒙阴县2016-2017学年七年级下学期期末考试数学试卷 题型:填空题

在扇形统计图中,其中一个扇形的圆心角是216°,则这个扇形所表示的部分占总体的百分数是_________.

查看答案和解析>>

科目: 来源:山东省蒙阴县2016-2017学年七年级下学期期末考试数学试卷 题型:填空题

如图所示,两块三角尺的直角顶点重叠在一起,且恰好平分,则的度数是________.

查看答案和解析>>

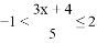
科目: 来源:山东省蒙阴县2016-2017学年七年级下学期期末考试数学试卷 题型:填空题

不等式:的非正整数解个数有__________个.

查看答案和解析>>

科目: 来源:山东省蒙阴县2016-2017学年七年级下学期期末考试数学试卷 题型:填空题

对于有理数,规定新运算:x※y=ax+by+xy,其中a 、b是常数,等式右边的是通常的加法和乘法运算. 已知:2※1=7 ,(-3)※3=3 ,则※b=__________.

查看答案和解析>>

同步练习册答案