相关习题
 0  315002  315010  315016  315020  315026  315028  315032  315038  315040  315046  315052  315056  315058  315062  315068  315070  315076  315080  315082  315086  315088  315092  315094  315096  315097  315098  315100  315101  315102  315104  315106  315110  315112  315116  315118  315122  315128  315130  315136  315140  315142  315146  315152  315158  315160  315166  315170  315172  315178  315182  315188  315196  366461 

科目: 来源:吉林省2016-2017学年八年级下学期第二次月考数学试卷 题型:填空题

菱形ABCD的面积为120,对角线BD的长为24,则对角线AC的长为 __________.

查看答案和解析>>

科目: 来源:吉林省2016-2017学年八年级下学期第二次月考数学试卷 题型:填空题

如图,□ABCD的两条对角线AC与BD相交于点O,且AC ⊥ AB,已知AC = 10,BD = 26,那么□ABCD的面积为______________.

查看答案和解析>>

科目: 来源:吉林省2016-2017学年八年级下学期第二次月考数学试卷 题型:填空题

如图,在□ABCD中,E为边CD上一点,将△ADE沿AE折叠至△AD’E’ 处,AD’与CE交于点F.若∠B = 52°,∠DAE = 20°,则∠FED’的大小为_____度.

查看答案和解析>>

科目: 来源:吉林省2016-2017学年八年级下学期第二次月考数学试卷 题型:解答题

计算:

查看答案和解析>>

科目: 来源:吉林省2016-2017学年八年级下学期第二次月考数学试卷 题型:解答题

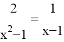
解下列方程:(1);(2)

查看答案和解析>>

科目: 来源:吉林省2016-2017学年八年级下学期第二次月考数学试卷 题型:解答题

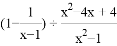
先化简,再求值:,其中.

查看答案和解析>>

科目: 来源:吉林省2016-2017学年八年级下学期第二次月考数学试卷 题型:解答题

某校为创建书香校园购进一批图书,经了解,科普书的单价比文学书的单价多4元,用12 000元购进的科普书与用8 000 元购进的文学书本数相等,求文学书和科普书的单价..

查看答案和解析>>

科目: 来源:吉林省2016-2017学年八年级下学期第二次月考数学试卷 题型:解答题

如图,在△ABC中,AB = AC,点D是边BC的中点,过点A、D分别作BC与AB的平行线,相交于点E,连结EC、AD.

求证:四边形ADCE是矩形.

查看答案和解析>>

科目: 来源:吉林省2016-2017学年八年级下学期第二次月考数学试卷 题型:解答题

为弘扬中华传统文化,某校组织七年级800名学生参加诗词大赛,为了解学生整体的诗词积累情况,随机抽取部分学生的成绩(得分取正整数,满分为100分)进行统计分析,请根据尚未完成的下列图表,解答问题:

(1)本次抽样中,表中m = _______,n = ______,样本成绩的中位数落在第____组内.

(2)补全频数分布直方图.

(3)若规定成绩超过80分为优秀,请估计该校七年级学生中诗词积累成绩为优秀的人数.

查看答案和解析>>

科目: 来源:吉林省2016-2017学年八年级下学期第二次月考数学试卷 题型:解答题

一次函数的图象分别交x轴,y轴于A、B两点,与反比例函数的图象交于点C(2,8).

(1)求k和m的值;

(2)根据图象直接写出在第一象限内,一次函数的值大于反比例函数的值时,x的取值范围;

(3)P是反比例函数图象在第一象限的一点,当四边形OPBA的面积为10时,求P 点的坐标.

查看答案和解析>>

同步练习册答案