相关习题
 0  315004  315012  315018  315022  315028  315030  315034  315040  315042  315048  315054  315058  315060  315064  315070  315072  315078  315082  315084  315088  315090  315094  315096  315098  315099  315100  315102  315103  315104  315106  315108  315112  315114  315118  315120  315124  315130  315132  315138  315142  315144  315148  315154  315160  315162  315168  315172  315174  315180  315184  315190  315198  366461 

科目: 来源:山西省大同市矿区2016-2017学年七年级下学期期末考试数学试卷 题型:填空题

如图是某中学七年级教师年龄(取正整数)的频数分布直方图。

根据图形,我们知道,该学校七年级共有教师__________人.

查看答案和解析>>

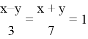
科目: 来源:山西省大同市矿区2016-2017学年七年级下学期期末考试数学试卷 题型:填空题

已知是方程组的解,则的算术平方根是______________.

查看答案和解析>>

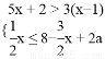
科目: 来源:山西省大同市矿区2016-2017学年七年级下学期期末考试数学试卷 题型:解答题

解不等式,并把解集在数轴上表示出来.

查看答案和解析>>

科目: 来源:山西省大同市矿区2016-2017学年七年级下学期期末考试数学试卷 题型:解答题

,求的平方根.

查看答案和解析>>

科目: 来源:山西省大同市矿区2016-2017学年七年级下学期期末考试数学试卷 题型:解答题

已知x是整数,且的差大于3且小于5,求的值.

查看答案和解析>>

科目: 来源:山西省大同市矿区2016-2017学年七年级下学期期末考试数学试卷 题型:解答题

已知x,y,z都不为零,且满足4x-3y-6z=0,x+2y-7z=0.求的值.

查看答案和解析>>

科目: 来源:山西省大同市矿区2016-2017学年七年级下学期期末考试数学试卷 题型:解答题

一个三位数,个位,百位上的数字的和等于十位上的数字,百位上的数字的7倍比个位,十位上的数字的和大2,个位,十位,百位上的数字的和是14,求这个三位数.

查看答案和解析>>

科目: 来源:山西省大同市矿区2016-2017学年七年级下学期期末考试数学试卷 题型:解答题

已知关于x的不等式组有三个整数解,求实数a的取值范围.

查看答案和解析>>

科目: 来源:山西省大同市矿区2016-2017学年七年级下学期期末考试数学试卷 题型:解答题

某中学对七年级学生数学学期成绩的评价规定如下:学期评价得分由期末测试成绩(满分100分)和期中测试成绩(满分100分)两部分组成,其中期末测试成绩占70%,期中测试成绩占30%,当学期评价得分大于或等于85分时,该生数学学期成绩评价为优秀.

(1)小明的期末测试成绩和期中成绩两项得分之和为170分,学期评价得分为87分,则小明期末测试成绩和期中测试成绩各得多少分?

(2)某同学期末测试成绩为75分,他的综合评价得分有可能达到优秀吗?为什么?

(3)如果一个同学学期评价得分要达到优秀,他的期末测试成绩至少要多少分(结果保留整数)?

查看答案和解析>>

科目: 来源:吉林省2016-2017学年八年级下学期第二次月考数学试卷 题型:单选题

若分式的值为0,则x的值为( )

A. B. C. D.

查看答案和解析>>

同步练习册答案