相关习题
 0  315005  315013  315019  315023  315029  315031  315035  315041  315043  315049  315055  315059  315061  315065  315071  315073  315079  315083  315085  315089  315091  315095  315097  315099  315100  315101  315103  315104  315105  315107  315109  315113  315115  315119  315121  315125  315131  315133  315139  315143  315145  315149  315155  315161  315163  315169  315173  315175  315181  315185  315191  315199  366461 

科目: 来源:山西省大同市矿区2016-2017学年七年级下学期期末考试数学试卷 题型:单选题

下列命题中,真命题是( )

A. 同位角相等. B. . C. 的平方根是. D. 3是不等式的解.

查看答案和解析>>

科目: 来源:山西省大同市矿区2016-2017学年七年级下学期期末考试数学试卷 题型:单选题

下列实数中,有理数是( ).

A. B. C. D. 3.14159

查看答案和解析>>

科目: 来源:山西省大同市矿区2016-2017学年七年级下学期期末考试数学试卷 题型:单选题

的算术平方根是( )

A. B. C. D.

查看答案和解析>>

科目: 来源:山西省大同市矿区2016-2017学年七年级下学期期末考试数学试卷 题型:单选题

已知点轴的负半轴上,则点在( ).

A. 第一象限 B. 第二象限 C. 第三象限 D. 第四象限

查看答案和解析>>

科目: 来源:山西省大同市矿区2016-2017学年七年级下学期期末考试数学试卷 题型:单选题

若将点向左平移3个单位,再向下平移4个单位,得到点B,则点B的坐标为( ).

A. B. C. D.

查看答案和解析>>

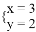
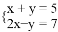
科目: 来源:山西省大同市矿区2016-2017学年七年级下学期期末考试数学试卷 题型:单选题

二元一次方程组的解为( )

A. B. C. D.

查看答案和解析>>

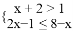
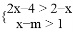
科目: 来源:山西省大同市矿区2016-2017学年七年级下学期期末考试数学试卷 题型:单选题

不等式组的解集是,则的取值范围是( ).

A. ≤0 B. ≤1 C. D.

查看答案和解析>>

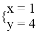
科目: 来源:山西省大同市矿区2016-2017学年七年级下学期期末考试数学试卷 题型:填空题

二元一次方程组的解是______________.

查看答案和解析>>

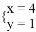
科目: 来源:山西省大同市矿区2016-2017学年七年级下学期期末考试数学试卷 题型:填空题

不等式组的最小整数解是________.

查看答案和解析>>

科目: 来源:山西省大同市矿区2016-2017学年七年级下学期期末考试数学试卷 题型:填空题

如图,下面的折线图反映的是我区某家庭每天购菜费用情况(统计时间为一周),则这个星期中此家庭购菜费用最大值与最小值的差为______元.

.

查看答案和解析>>

同步练习册答案