相关习题
 0  315012  315020  315026  315030  315036  315038  315042  315048  315050  315056  315062  315066  315068  315072  315078  315080  315086  315090  315092  315096  315098  315102  315104  315106  315107  315108  315110  315111  315112  315114  315116  315120  315122  315126  315128  315132  315138  315140  315146  315150  315152  315156  315162  315168  315170  315176  315180  315182  315188  315192  315198  315206  366461 

科目: 来源:浙江省温州市2015-2016学年八年级下学期期中考试数学试卷 题型:单选题

一个多边形的每个内角均为135°,则这个多边形是( )

A. 五边形 B. 六边形 C. 七边形 D. 八边形

查看答案和解析>>

科目: 来源:浙江省温州市2015-2016学年八年级下学期期中考试数学试卷 题型:单选题

已知a是方程的一个解,则代数式的值为 ( )

A. 4 B. -4 C. 5 D. -5

查看答案和解析>>

科目: 来源:浙江省温州市2015-2016学年八年级下学期期中考试数学试卷 题型:单选题

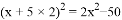
在一张正方形桌子的桌面上放上一块台布,台布各边垂下的长度均为5cm,台布的面积比桌面面积的2倍少50cm2,若设正方形桌面的边长为 cm,则可列方程为( )

A. B.

C. D.

查看答案和解析>>

科目: 来源:浙江省温州市2015-2016学年八年级下学期期中考试数学试卷 题型:单选题

如图,在Rt△ABC中,∠C=90°,点D是AC边上的动点,过点D作DE∥AB交CB于E,过点B作BF⊥BC交DE的延长线于F,当AD从小于DC到大于DC的变化过程中,则△DCE与△BEF的周长之和的变化情况是( )

A. 一直不变 B. 一直增大 C. 先增大后减小 D. 先减小后增大

查看答案和解析>>

科目: 来源:浙江省温州市2015-2016学年八年级下学期期中考试数学试卷 题型:填空题

时,二次根式的值为_______.

查看答案和解析>>

科目: 来源:浙江省温州市2015-2016学年八年级下学期期中考试数学试卷 题型:填空题

一元二次方程的解是________.

查看答案和解析>>

科目: 来源:浙江省温州市2015-2016学年八年级下学期期中考试数学试卷 题型:填空题

在直角坐标系中,点A(﹣3,4)关于原点对称的点的坐标是 _______.

查看答案和解析>>

科目: 来源:浙江省温州市2015-2016学年八年级下学期期中考试数学试卷 题型:填空题

化简:=________.

查看答案和解析>>

科目: 来源:浙江省温州市2015-2016学年八年级下学期期中考试数学试卷 题型:填空题

现有甲、乙两支排球队,每支球队队员身高的平均数均为1.85米,方差分别为S=0.42,S=0.36,则身高较整齐的球队是________队.

查看答案和解析>>

科目: 来源:浙江省温州市2015-2016学年八年级下学期期中考试数学试卷 题型:填空题

若关于x的一元二次方程有一个根是1,则的值是_______.

查看答案和解析>>

同步练习册答案