相关习题
 0  315014  315022  315028  315032  315038  315040  315044  315050  315052  315058  315064  315068  315070  315074  315080  315082  315088  315092  315094  315098  315100  315104  315106  315108  315109  315110  315112  315113  315114  315116  315118  315122  315124  315128  315130  315134  315140  315142  315148  315152  315154  315158  315164  315170  315172  315178  315182  315184  315190  315194  315200  315208  366461 

科目: 来源:内蒙古毕业第一次模拟考试数学试卷 题型:填空题

随着空气质量的恶化,雾霾天气现象增多,危害加重.森林是“地球之肺”,每年能为人类提供大约亿吨的有机物,亿可用科学记数法表示为______.

查看答案和解析>>

科目: 来源:内蒙古毕业第一次模拟考试数学试卷 题型:填空题

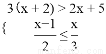
不等式组的最小整数解是__________.

查看答案和解析>>

科目: 来源:内蒙古毕业第一次模拟考试数学试卷 题型:填空题

新定义: 为一次函数y=ax+b(a≠0,a,b为实数)的“关联数”.若“关联数”为的一次函数是正比例函数,则关于x的方程的解为____.

查看答案和解析>>

科目: 来源:内蒙古毕业第一次模拟考试数学试卷 题型:填空题

如图,在△ABC中,CA=CB,∠ACB=90°,AB=,点D为AB的中点,以点D为圆心作圆心角为90°的扇形DEF,点C恰好在弧EF上,则图中阴影部分的面积为________(结果保留π)

查看答案和解析>>

科目: 来源:内蒙古毕业第一次模拟考试数学试卷 题型:填空题

如图,△ABC、△DCE、△FEG为等边三角形,边长分别为2、3、5,且从左至右如图排列,连接BF,交DC、DE分别于M、N两点,则△DMN的面积为______.

查看答案和解析>>

科目: 来源:内蒙古毕业第一次模拟考试数学试卷 题型:填空题

如图,下面每个图形中的四个数都是按相同的规律填写的,根据此规律确定x的值为______.

查看答案和解析>>

科目: 来源:内蒙古毕业第一次模拟考试数学试卷 题型:解答题

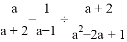
(1)

(2)先化简,再求代数式的值,其中=3tan30°﹣2.

查看答案和解析>>

科目: 来源:内蒙古毕业第一次模拟考试数学试卷 题型:解答题

王老师为了了解所教班级学生自主学习、合作交流的具体情况,对本班部分学生进行了为期半个月的跟踪调查,并将调查结果分成四类,A:优秀;B:良好;C:合格;D:一般;并将调查结果绘制成以下两幅不完整的统计图,请你根据统计图解答下列问题:(1)本次调查中,王老师一共调查了多少名同学?

(2)将上面的条形统计图补充完整;并求出“D”所占的圆心角的度数;

(3)从被调查的A类和D类学生中分别选取一位同学进行“一对一”互助学习,请求出所选两位同学恰好是一位男同学和一位女同学的概率.

查看答案和解析>>

科目: 来源:内蒙古毕业第一次模拟考试数学试卷 题型:解答题

“为了安全,请勿超速”.如图,一条公路建成通车,在某直线路段MN限速60千米/小时,为了检测车辆是否超速,在公路MN旁设立了观测点C,从观测点C测得一小车从点A到达点B行驶了5秒钟,已知∠CAN=45°,∠CBN=60°,BC=200米,此车超速了吗?请说明理由.

(参考数据:≈1.41,≈1.73)

查看答案和解析>>

科目: 来源:内蒙古毕业第一次模拟考试数学试卷 题型:解答题

如图,一次函数y=kx+b的图象与反比例函数(x>0)的图象交于P(n,2),与轴交于A(﹣4,0),与y轴交于C,PB⊥轴于点B,且AC=BC.

(1)求一次函数、反比例函数的解析式;

(2)反比例函数图象有一点D,使得以B、C、P、D为顶点的四边形是菱形,求出点D的坐标.

查看答案和解析>>

同步练习册答案