相关习题
 0  315052  315060  315066  315070  315076  315078  315082  315088  315090  315096  315102  315106  315108  315112  315118  315120  315126  315130  315132  315136  315138  315142  315144  315146  315147  315148  315150  315151  315152  315154  315156  315160  315162  315166  315168  315172  315178  315180  315186  315190  315192  315196  315202  315208  315210  315216  315220  315222  315228  315232  315238  315246  366461 

科目: 来源:甘肃省武威市2016-2017学年七年级下学期期末考试数学试卷 题型:单选题

线段是由线段平移得到的,点(-2,3)的对应点为(2,-1),则点(1,1)的对应点的坐标为( )

A. (-1,-3) B. (5,3) C. (5,-3) D. (0,3)

查看答案和解析>>

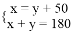
科目: 来源:甘肃省武威市2016-2017学年七年级下学期期末考试数学试卷 题型:单选题

一副三角板按如图方式摆放,且∠1比∠2大50°,若设∠1=x°,∠2=y°.则可得到的方程组为( )

A. B. C. D.

查看答案和解析>>

科目: 来源:甘肃省武威市2016-2017学年七年级下学期期末考试数学试卷 题型:选择题

在下列各数:0.51525354…,,0.2, ,中,无理数的个数是( )

A. 2个 B. 3个 C. 4个 D. 5个

查看答案和解析>>

科目: 来源:甘肃省武威市2016-2017学年七年级下学期期末考试数学试卷 题型:填空题

若电影院中的5排2号记为(5,2),则3排5号记为_________________________

查看答案和解析>>

科目: 来源:甘肃省武威市2016-2017学年七年级下学期期末考试数学试卷 题型:填空题

M(a,b)且a<0,ab<0,则点M在第__________象限.

查看答案和解析>>

科目: 来源:甘肃省武威市2016-2017学年七年级下学期期末考试数学试卷 题型:填空题

25的算术平方根是  _______  .

查看答案和解析>>

科目: 来源:甘肃省武威市2016-2017学年七年级下学期期末考试数学试卷 题型:填空题

比较大小:-______-.

查看答案和解析>>

科目: 来源:甘肃省武威市2016-2017学年七年级下学期期末考试数学试卷 题型:填空题

已知方程3x+2y=5,用含x的代数式表示y,则y=___.

查看答案和解析>>

科目: 来源:甘肃省武威市2016-2017学年七年级下学期期末考试数学试卷 题型:填空题

已知是方程mx+3y=1的一个解,则m的值是_______.

查看答案和解析>>

科目: 来源:甘肃省武威市2016-2017学年七年级下学期期末考试数学试卷 题型:填空题

“x的与5的差不小于-4的相反数”,则用不等式表示为 ____________.

查看答案和解析>>

同步练习册答案