相关习题
 0  315053  315061  315067  315071  315077  315079  315083  315089  315091  315097  315103  315107  315109  315113  315119  315121  315127  315131  315133  315137  315139  315143  315145  315147  315148  315149  315151  315152  315153  315155  315157  315161  315163  315167  315169  315173  315179  315181  315187  315191  315193  315197  315203  315209  315211  315217  315221  315223  315229  315233  315239  315247  366461 

科目: 来源:陕西省2016-2017学年七年级下学期期末考试数学试卷 题型:解答题

我市某医药公司要把药品运往外地,现有两种运输方式可供选择:

方式一:使用快递公司的邮车运输,装卸收费400元,另外每千米再加收4元;
方式二:使用铁路运输公司的火车运输,装卸收费820元,另外每千米再加收2元.
(1) 请分别写出邮车、火车运输的总费用y 1 (元)、y 2 (元)与运输路程x(千米)之间的关系式;
(2)若医药公司现有1600元将一批药品运输到同一个地方,最远可运输多少千米?

查看答案和解析>>

科目: 来源:陕西省2016-2017学年七年级下学期期末考试数学试卷 题型:解答题

如图,在四边形ABCD中,AD∥BC,E为CD的中点,连接AE、BE,BE⊥AE,延长AE交BC的延长线于点F.求证:

(1)FC=AD;

(2)AB=BC+AD.

查看答案和解析>>

科目: 来源:陕西省2016-2017学年七年级下学期期末考试数学试卷 题型:解答题

如图,在长方形ABCD中,AB=CD=6cm,BC=10cm,点P从点B出发,以2cm/秒的速度沿BC向点C运动,设点P的运动时间为t秒:

(1)PC=______cm.(用t的代数式表示)

(2)当t为何值时,△ABP≌△DCP?

(3)当点P从点B开始运动,同时,点Q从点C出发,以v cm/秒的速度沿CD向点D运动,是否存在这样v的值,使得△ABP与△PQC全等?若存在,请求出v的值;若不存在,请说明理由.

查看答案和解析>>

科目: 来源:甘肃省武威市2016-2017学年七年级下学期期末考试数学试卷 题型:单选题

下列调查中,适合用全面调查的是( )

A. 了解某班同学立定跳远的情况 B. 了解一批炮弹的杀伤半径

C. 了解某种品牌奶粉中含三聚氰胺的百分比 D. 了解全国青少年喜欢的电视节目

查看答案和解析>>

科目: 来源:甘肃省武威市2016-2017学年七年级下学期期末考试数学试卷 题型:单选题

下列命题中,属于真命题的是( )

A. 互补的角是邻补角 B. 在同一平面内,如果a⊥b,b⊥c,则a⊥c。

C. 同位角相等 D. 在同一平面内,如果a∥b,b∥c,则a∥c。

查看答案和解析>>

科目: 来源:甘肃省武威市2016-2017学年七年级下学期期末考试数学试卷 题型:单选题

下列生活中的各个现象,属于平移变换现象的是(   )

A. 拉开抽屉 B. 用放大镜看文字

C. 时钟上分针的运动 D. 你和平面镜中的像

查看答案和解析>>

科目: 来源:甘肃省武威市2016-2017学年七年级下学期期末考试数学试卷 题型:单选题

若x>y,则下列式子错误的是( )

A. x-3>y-3 B. 3-x>3-y C. - 2x<-2y D.

查看答案和解析>>

科目: 来源:甘肃省武威市2016-2017学年七年级下学期期末考试数学试卷 题型:单选题

在平面直角坐标系中,点A位于第二象限,距离x轴1个单位长度,距y轴4个单位长度,则点A的坐标为( )

A. (1,4) B. (-4,1) C. (-1,4) D. (4,-1)

查看答案和解析>>

科目: 来源:甘肃省武威市2016-2017学年七年级下学期期末考试数学试卷 题型:单选题

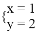
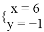
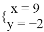
下列各组中,不是二元一次方程的解的是( ).

A. B. C. D.

查看答案和解析>>

科目: 来源:甘肃省武威市2016-2017学年七年级下学期期末考试数学试卷 题型:单选题

某次知识竞赛共有30道选择题,答对一题得10分,若答错或不答一道题,则扣3分,要使总得分不少于70分,则应该至少答对几道题?若设答对x题,可得式子为(   )

A. 10x-3(30-x)>70 B. 10x-3(30-x)≤70

C. 10x-3x≥70 D. 10x-3(30-x)≥70

查看答案和解析>>

同步练习册答案