相关习题
 0  315073  315081  315087  315091  315097  315099  315103  315109  315111  315117  315123  315127  315129  315133  315139  315141  315147  315151  315153  315157  315159  315163  315165  315167  315168  315169  315171  315172  315173  315175  315177  315181  315183  315187  315189  315193  315199  315201  315207  315211  315213  315217  315223  315229  315231  315237  315241  315243  315249  315253  315259  315267  366461 

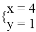
科目: 来源:山西省大同市矿区2016-2017学年七年级下学期期末考试数学试卷 题型:单选题

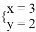
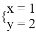
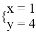
二元一次方程组的解为( )

A. B. C. D.

查看答案和解析>>

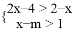
科目: 来源:山西省大同市矿区2016-2017学年七年级下学期期末考试数学试卷 题型:单选题

不等式组的解集是,则的取值范围是( ).

A. ≤0 B. ≤1 C. D.

查看答案和解析>>

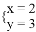
科目: 来源:山西省大同市矿区2016-2017学年七年级下学期期末考试数学试卷 题型:填空题

二元一次方程组的解是______________.

查看答案和解析>>

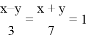
科目: 来源:山西省大同市矿区2016-2017学年七年级下学期期末考试数学试卷 题型:填空题

不等式组的最小整数解是________.

查看答案和解析>>

科目: 来源:山西省大同市矿区2016-2017学年七年级下学期期末考试数学试卷 题型:填空题

如图,下面的折线图反映的是我区某家庭每天购菜费用情况(统计时间为一周),则这个星期中此家庭购菜费用最大值与最小值的差为______元.

.

查看答案和解析>>

科目: 来源:山西省大同市矿区2016-2017学年七年级下学期期末考试数学试卷 题型:填空题

如图是某中学七年级教师年龄(取正整数)的频数分布直方图。

根据图形,我们知道,该学校七年级共有教师__________人.

查看答案和解析>>

科目: 来源:山西省大同市矿区2016-2017学年七年级下学期期末考试数学试卷 题型:填空题

已知是方程组的解,则的算术平方根是______________.

查看答案和解析>>

科目: 来源:山西省大同市矿区2016-2017学年七年级下学期期末考试数学试卷 题型:解答题

解不等式,并把解集在数轴上表示出来.

查看答案和解析>>

科目: 来源:山西省大同市矿区2016-2017学年七年级下学期期末考试数学试卷 题型:解答题

,求的平方根.

查看答案和解析>>

科目: 来源:山西省大同市矿区2016-2017学年七年级下学期期末考试数学试卷 题型:解答题

已知x是整数,且的差大于3且小于5,求的值.

查看答案和解析>>

同步练习册答案