相关习题
 0  315100  315108  315114  315118  315124  315126  315130  315136  315138  315144  315150  315154  315156  315160  315166  315168  315174  315178  315180  315184  315186  315190  315192  315194  315195  315196  315198  315199  315200  315202  315204  315208  315210  315214  315216  315220  315226  315228  315234  315238  315240  315244  315250  315256  315258  315264  315268  315270  315276  315280  315286  315294  366461 

科目: 来源:河北省秦皇岛市抚宁县台营学区2016-2017学年七年级下学期期末考试数学试卷 题型:填空题

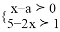
已知关于x的不等式组有且只有1个整数解,a的取值范围是_______.

查看答案和解析>>

科目: 来源:河北省秦皇岛市抚宁县台营学区2016-2017学年七年级下学期期末考试数学试卷 题型:填空题

如果a,b,c是整数,且ac=b,那么我们规定一种记号(a,b)=c,例如32=9,那么记作(3,9)=2,根据以上规定,求(﹣2,1)=

查看答案和解析>>

科目: 来源:河北省秦皇岛市抚宁县台营学区2016-2017学年七年级下学期期末考试数学试卷 题型:解答题

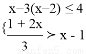
解不等式组,并把它的解集在数轴上表示出来.

查看答案和解析>>

科目: 来源:河北省秦皇岛市抚宁县台营学区2016-2017学年七年级下学期期末考试数学试卷 题型:解答题

先化简,再求值:(x+2)2-(2x+1)(2x-1)-4x(x+1),其中x=-2.

查看答案和解析>>

科目: 来源:河北省秦皇岛市抚宁县台营学区2016-2017学年七年级下学期期末考试数学试卷 题型:解答题

如图,在△BCD中,BC=4,BD=5.

(1)求CD的取值范围.

(2)若AE∥BD,∠A=55°,∠BDE=125°,求∠C的度数.

查看答案和解析>>

科目: 来源:河北省秦皇岛市抚宁县台营学区2016-2017学年七年级下学期期末考试数学试卷 题型:解答题

如图,已知点A,D,B在同一直线上,∠1=∠2,∠3=∠E,若∠DAE=100°,∠E=30°,求∠B的度数.

查看答案和解析>>

科目: 来源:河北省秦皇岛市抚宁县台营学区2016-2017学年七年级下学期期末考试数学试卷 题型:解答题

列方程组解应用题:

用白铁皮做罐头盒,每张铁皮可制作盒身16个或制盒底40个,一个盒身和两个盒底配成一套罐头盒,现有36张白铁皮用多少张制盒身,多少张制盒底,可以使盒身和盒底正好配套?

查看答案和解析>>

科目: 来源:河北省秦皇岛市抚宁县台营学区2016-2017学年七年级下学期期末考试数学试卷 题型:解答题

先阅读下列材料,再解答下列问题:

材料:因式分【解析】
(x+y)2+2(x+y)+1.

【解析】
将“x+y”看成整体,令x+y=A,则

原式=A2+2A+1=(A+1)2

再将“A”还原,得:原式=(x+y+1)2.

上述解题中用到的是“整体思想”,整体思想是数学解题中常用的一种思想方法,请你解答下列问题:

(1)因式分【解析】
1+2(x﹣y)+(x﹣y)2=__________

(2)因式分【解析】
(a+b)(a+b﹣4)+4

(3)证明:若n为正整数,则式子(n+1)(n+2)(n2+3n)+1的值一定是某一个整数的平方.

查看答案和解析>>

科目: 来源:山西农业大学附属中学2017届九年级中考适应性训练数学试卷 题型:选择题

某地一天的最高气温是12℃,最低气温是2℃,则该地这天的温差是( )

A.﹣10℃ B.10℃ C.14℃ D.﹣14℃

查看答案和解析>>

科目: 来源:山西农业大学附属中学2017届九年级中考适应性训练数学试卷 题型:单选题

下列图形中既是轴对称图形又是中心对称图形的是

A. B. C. D.

查看答案和解析>>

同步练习册答案