相关习题
 0  315217  315225  315231  315235  315241  315243  315247  315253  315255  315261  315267  315271  315273  315277  315283  315285  315291  315295  315297  315301  315303  315307  315309  315311  315312  315313  315315  315316  315317  315319  315321  315325  315327  315331  315333  315337  315343  315345  315351  315355  315357  315361  315367  315373  315375  315381  315385  315387  315393  315397  315403  315411  366461 

科目: 来源:福建省莆田市2016届九年级数学能力达标练习03 题型:解答题

已知a>-2,若当1≤x≤2时,函数y= (a≠0)的最大值与最小值之差是1,求a的值.

查看答案和解析>>

科目: 来源:福建省莆田市2016届九年级数学能力达标练习03 题型:解答题

定义:三边长和面积都是整数的三角形称为“整数三角形”.

数学学习小组的同学从32根等长的火柴棒(每根长度记为1个单位)中取出若干根,首尾依次相接组成三角形,进行探究活动.

小亮用12根火柴棒,摆成如图所示的“整数三角形”;

小颖分别用24根和30根火柴棒摆出直角“整数三角形”;

小辉受到小亮、小颖的启发,分别摆出三个不同的等腰“整数三角形”.

⑴请你画出小颖和小辉摆出的“整数三角形”的示意图;

⑵你能否也从中取出若干根,按下列要求摆出“整数三角形”,如果能,请画出示意图;如果不能,请说明理由.

①画出等边“整数三角形”;

②摆出一个非特殊(既非直角三角形,也非等腰三角形)“整数三角形”.

查看答案和解析>>

科目: 来源:山东省临沂市兰陵县2016-2017学年七年级下学期期末考试数学试卷(WORD版) 题型:单选题

﹣8的立方根是( )

A. 2 B. ﹣2 C. ±2 D.

查看答案和解析>>

科目: 来源:山东省临沂市兰陵县2016-2017学年七年级下学期期末考试数学试卷(WORD版) 题型:单选题

下列说法正确的是( )

A. 无限小数都是无理数 B. 9的立方根是3

C. 平方根等于本身的数是0 D. 数轴上的每一个点都对应一个有理数

查看答案和解析>>

科目: 来源:山东省临沂市兰陵县2016-2017学年七年级下学期期末考试数学试卷(WORD版) 题型:单选题

象棋在中国有着三千多年的历史,由于用具简单,趣味性强,成为流行极为广泛的益智游戏.如图,是一局象棋残局,已知表示棋子“車”的点的坐标为(﹣2,1),棋子“炮”的点的坐标为(1,3),则表示棋子“馬”的点的坐标为(  )

A. (﹣4,3) B. (3,4) C. (﹣3,4) D. (4,3)

查看答案和解析>>

科目: 来源:山东省临沂市兰陵县2016-2017学年七年级下学期期末考试数学试卷(WORD版) 题型:单选题

已知点P(0,a)在y轴的负半轴上,则点Q(﹣a2﹣1,﹣a+1)在( )

A. 第一象限 B. 第二象限 C. 第三象限 D. 第四象限

查看答案和解析>>

科目: 来源:山东省临沂市兰陵县2016-2017学年七年级下学期期末考试数学试卷(WORD版) 题型:单选题

如图,AB∥CD,DE⊥CE,∠1=34°,则∠DCE的度数为(  )

A. 34° B. 56° C. 66° D. 54°

查看答案和解析>>

科目: 来源:山东省临沂市兰陵县2016-2017学年七年级下学期期末考试数学试卷(WORD版) 题型:单选题

如图,AD是∠EAC的平分线,AD∥BC,∠B=30°,则∠C的度数为(  )

A. 50° B. 40° C. 30° D. 20°

查看答案和解析>>

科目: 来源:山东省临沂市兰陵县2016-2017学年七年级下学期期末考试数学试卷(WORD版) 题型:单选题

下列不等式变形正确的是(  )

A. 由a>b,得ac>bc B. 由a>b,得a﹣2<b﹣2

C. 由﹣>﹣1,得﹣>﹣a D. 由a>b,得c﹣a<c﹣b

查看答案和解析>>

科目: 来源:山东省临沂市兰陵县2016-2017学年七年级下学期期末考试数学试卷(WORD版) 题型:单选题

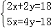
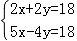
甲乙两人在相距18千米的两地,若同时出发相向而行,经2小时相遇;若同向而行,且甲比乙先出发1小时追及乙,那么在乙出发后经4小时两人相遇,求甲、乙两人的速度.设甲的速度为x千米/小时,乙的速度为y千米/小时,则可列方程组为(  )

A. B.

C. D.

查看答案和解析>>

同步练习册答案