相关习题
 0  315243  315251  315257  315261  315267  315269  315273  315279  315281  315287  315293  315297  315299  315303  315309  315311  315317  315321  315323  315327  315329  315333  315335  315337  315338  315339  315341  315342  315343  315345  315347  315351  315353  315357  315359  315363  315369  315371  315377  315381  315383  315387  315393  315399  315401  315407  315411  315413  315419  315423  315429  315437  366461 

科目: 来源:北京市石景山区2016-2017学年七年级下学期期末考试数学试卷 题型:解答题

查看答案和解析>>

科目: 来源:北京市石景山区2016-2017学年七年级下学期期末考试数学试卷 题型:解答题

查看答案和解析>>

科目: 来源:北京市石景山区2016-2017学年七年级下学期期末考试数学试卷 题型:解答题

查看答案和解析>>

科目: 来源:北京市石景山区2016-2017学年七年级下学期期末考试数学试卷 题型:解答题

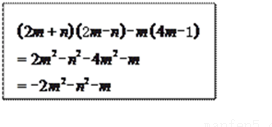
课堂上,老师让同学们计算

左边文本框中是小方的解题过程.请你作为小老师对其进行评价,判断其是否正确?如果有错误,请写出正确的解题过程.

查看答案和解析>>

科目: 来源:北京市石景山区2016-2017学年七年级下学期期末考试数学试卷 题型:解答题

求值: , ,求 的值.

查看答案和解析>>

科目: 来源:北京市石景山区2016-2017学年七年级下学期期末考试数学试卷 题型:解答题

化简求值:若 ,求 的值.

查看答案和解析>>

科目: 来源:北京市石景山区2016-2017学年七年级下学期期末考试数学试卷 题型:解答题

解方程组 ..

查看答案和解析>>

科目: 来源:北京市石景山区2016-2017学年七年级下学期期末考试数学试卷 题型:解答题

求不等式组 的非负整数解.

查看答案和解析>>

科目: 来源:北京市石景山区2016-2017学年七年级下学期期末考试数学试卷 题型:解答题

已知:直线AD,BC被直线CD所截,AC为 ∠BAD的角平分线,∠1+∠BCD=180°.

求证:∠BCA=∠BAC.

查看答案和解析>>

科目: 来源:北京市石景山区2016-2017学年七年级下学期期末考试数学试卷 题型:解答题

某综合实践小组为了了解本校学生参加课外读书活动的情况,随机抽取部分学生,调查其最喜欢的图书类别,并根据调查结果绘制成如下不完整的统计表与统计图:

请结合图中的信息解答下列问题:

(1)随机抽取的样本容量a为

(2)补全扇形统计图和条形统计图;

(3)已知该校有600名学生,估计全校最喜欢文学类图书的学生有 人.

查看答案和解析>>

同步练习册答案