相关习题
 0  315330  315338  315344  315348  315354  315356  315360  315366  315368  315374  315380  315384  315386  315390  315396  315398  315404  315408  315410  315414  315416  315420  315422  315424  315425  315426  315428  315429  315430  315432  315434  315438  315440  315444  315446  315450  315456  315458  315464  315468  315470  315474  315480  315486  315488  315494  315498  315500  315506  315510  315516  315524  366461 

科目: 来源:福建省宁德市2016-2017学年八年级下学期期末考试数学试卷(WORD版) 题型:填空题

在?ABCD中,∠A+∠C=100°,那么∠B=_____.

查看答案和解析>>

科目: 来源:福建省宁德市2016-2017学年八年级下学期期末考试数学试卷(WORD版) 题型:填空题

因式分【解析】
ax2﹣4a=_____.

查看答案和解析>>

科目: 来源:福建省宁德市2016-2017学年八年级下学期期末考试数学试卷(WORD版) 题型:填空题

命题“直角三角形两锐角互余”的逆命题是:_____.

查看答案和解析>>

科目: 来源:福建省宁德市2016-2017学年八年级下学期期末考试数学试卷(WORD版) 题型:填空题

若矩形的面积为a2+ab,宽为a,则长为_____.

查看答案和解析>>

科目: 来源:福建省宁德市2016-2017学年八年级下学期期末考试数学试卷(WORD版) 题型:填空题

如图是3×4正方形网格,其中已有5各小方格涂上阴影,若再选取标有①,②,③,④中的一个小方格涂上阴影,使图中所有涂上阴影的小方格组成一个中心对称图形,则该小方格是_____.(填序号)

查看答案和解析>>

科目: 来源:福建省宁德市2016-2017学年八年级下学期期末考试数学试卷(WORD版) 题型:填空题

如图,已知等边△ABC,AB=6,点D在AB上,点F在AC的延长线上,BD=CF,DF交BC于点P,作DE⊥BC与点E,则EP的长是_____.

查看答案和解析>>

科目: 来源:福建省宁德市2016-2017学年八年级下学期期末考试数学试卷(WORD版) 题型:解答题

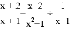
化简并求值:,其中x=﹣3.

查看答案和解析>>

科目: 来源:福建省宁德市2016-2017学年八年级下学期期末考试数学试卷(WORD版) 题型:解答题

如图,已知?ABCD,AB>AD,分别以点A,C为圆心,以AD,CB长为半径作弧,交AB,CD于点E,F,连接AF,CE.求证:AF=CE.

查看答案和解析>>

科目: 来源:福建省宁德市2016-2017学年八年级下学期期末考试数学试卷(WORD版) 题型:解答题

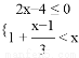
解不等式组并将解集在数轴上表示出来.

查看答案和解析>>

科目: 来源:福建省宁德市2016-2017学年八年级下学期期末考试数学试卷(WORD版) 题型:解答题

如图,已知△ABC,AB=AC,AD是△ABC的角平分线,EF垂直平分AC,分别交AC,AD,AB于点E,M,F.若∠CAD=20°,求∠MCD的度数.

查看答案和解析>>

同步练习册答案