相关习题
 0  315331  315339  315345  315349  315355  315357  315361  315367  315369  315375  315381  315385  315387  315391  315397  315399  315405  315409  315411  315415  315417  315421  315423  315425  315426  315427  315429  315430  315431  315433  315435  315439  315441  315445  315447  315451  315457  315459  315465  315469  315471  315475  315481  315487  315489  315495  315499  315501  315507  315511  315517  315525  366461 

科目: 来源:福建省宁德市2016-2017学年八年级下学期期末考试数学试卷(WORD版) 题型:单选题

若代数式在实数范围内有意义,则实数x的取值范围是(  )

A. x≥2 B. x≠2 C. x=﹣1 D. x=2

查看答案和解析>>

科目: 来源:福建省宁德市2016-2017学年八年级下学期期末考试数学试卷(WORD版) 题型:单选题

如图,等腰三角形ABC中,AB=AC,BD是AC边上的高,若∠A=36°,则∠DBC的大小是( )

A. 18° B. 36° C. 54° D. 72°

查看答案和解析>>

科目: 来源:福建省宁德市2016-2017学年八年级下学期期末考试数学试卷(WORD版) 题型:单选题

已知一个不等式组的解集如图所示,则以下各数是该不等式组的解的是( )

A. ﹣5 B. 2 C. 3 D. 4

查看答案和解析>>

科目: 来源:福建省宁德市2016-2017学年八年级下学期期末考试数学试卷(WORD版) 题型:单选题

将点P(2,1)沿x轴方向向左平移3个单位,再沿y轴方向向上平移2个单位,所得的点的坐标是(  )

A. (5,﹣1) B. (﹣1,﹣1) C. (﹣1,3) D. (5,3)

查看答案和解析>>

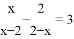
科目: 来源:福建省宁德市2016-2017学年八年级下学期期末考试数学试卷(WORD版) 题型:单选题

将分式方程化为整式方程,正确的是(  )

A. x﹣2=3 B. x+2=3 C. x﹣2=3(x﹣2) D. x+2=3(x﹣2)

查看答案和解析>>

科目: 来源:福建省宁德市2016-2017学年八年级下学期期末考试数学试卷(WORD版) 题型:单选题

已知正多边形的每个内角均为108°,则这个正多边形的边数为(  )

A. 3 B. 4 C. 5 D. 6

查看答案和解析>>

科目: 来源:福建省宁德市2016-2017学年八年级下学期期末考试数学试卷(WORD版) 题型:单选题

如图,已知AB=DC,下列所给的条件不能证明△ABC≌△DCB的是( )

A. ∠A=∠D=90° B. ∠ABC=∠DCB C. ∠ACB=∠DBC D. AC=BD

查看答案和解析>>

科目: 来源:福建省宁德市2016-2017学年八年级下学期期末考试数学试卷(WORD版) 题型:单选题

下列各式中能用完全平方公式进行因式分解的是(  )

A. x2+x+1 B. x2+2x﹣1 C. x2﹣1 D. x2﹣6x+9

查看答案和解析>>

科目: 来源:福建省宁德市2016-2017学年八年级下学期期末考试数学试卷(WORD版) 题型:单选题

如图,已知四边形ABCD的对角线AC⊥BD,则顺次连接四边形ABCD各边中点所得的四边形是(  )

A. 矩形 B. 菱形 C. 正方形 D. 平行四边形

查看答案和解析>>

科目: 来源:福建省宁德市2016-2017学年八年级下学期期末考试数学试卷(WORD版) 题型:单选题

如图,点A,B在直线l的同侧,若要用尺规在直线l上确定一点P,使得AP+BP最短,则下列作图正确的是(  )

A. B. C. D.

查看答案和解析>>

同步练习册答案