相关习题
 0  315345  315353  315359  315363  315369  315371  315375  315381  315383  315389  315395  315399  315401  315405  315411  315413  315419  315423  315425  315429  315431  315435  315437  315439  315440  315441  315443  315444  315445  315447  315449  315453  315455  315459  315461  315465  315471  315473  315479  315483  315485  315489  315495  315501  315503  315509  315513  315515  315521  315525  315531  315539  366461 

科目: 来源:福建省莆田市2016届九年级数学能力达标练习05 题型:单选题

如图,数轴上A,B,O,C四点,表示的数与点A所表示的数是互为相反数的点是

A. 点B B. 点O C. 点A D. 点C

查看答案和解析>>

科目: 来源:福建省莆田市2016届九年级数学能力达标练习05 题型:单选题

用科学记数法表示10000,正确的是

A. 1万 B. C. D.

查看答案和解析>>

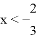
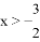
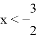
科目: 来源:福建省莆田市2016届九年级数学能力达标练习05 题型:单选题

不等式解集是

A. B. C. D.

查看答案和解析>>

科目: 来源:福建省莆田市2016届九年级数学能力达标练习05 题型:单选题

因式分解的结果是

A. B. C. D.

查看答案和解析>>

科目: 来源:福建省莆田市2016届九年级数学能力达标练习05 题型:单选题

计算的结果是

A. 1 B. C. D.

查看答案和解析>>

科目: 来源:福建省莆田市2016届九年级数学能力达标练习05 题型:单选题

已知线段AB=4cm,过点B作BC⊥AB,且BC=2cm,连结AC,以C为圆心,CB为半径作弧,交AC于D;以A为圆心,AD为半径作弧,交AB于P,量一量线段AP的长,约为

A. 2 cm B. 2.5 cm C. 3 cm D. 3.5 cm

查看答案和解析>>

科目: 来源:福建省莆田市2016届九年级数学能力达标练习05 题型:单选题

如图,四边形纸片ABCD,以下测量方法,能判定AD∥BC的是

A. ∠B=∠C=90° B. ∠B=∠D=90°

C. AC=BD D. 点A,D到BC的距离相等

查看答案和解析>>

科目: 来源:福建省莆田市2016届九年级数学能力达标练习05 题型:单选题

成成在满分为100分的期中、期末数学测试中,两次的平均分为90分,若按期中数学成绩占30%,期末数学成绩占70%计算学期数学成绩,则成成的学期数学成绩可能是

A. 85 B. 88 C. 95 D. 100

查看答案和解析>>

科目: 来源:福建省莆田市2016届九年级数学能力达标练习05 题型:单选题

用相同的钱,小聪买的笔蕊数量是小明买笔记本数量的2倍,每本笔记本比每支笔蕊多1元.设每支笔蕊元,小明依题意列得两个方程,①,② ,下列判断正确的是

A. 只有①是对的 B. 只有②是对的

C. ①②都是对的 D. ①②都是错的

查看答案和解析>>

科目: 来源:福建省莆田市2016届九年级数学能力达标练习05 题型:单选题

如图,在 △ABC中,AB=AC=5,BC=6,AD⊥BC于D,点E,F分别在AD,AB是,则BE+EF的最小值是

A. 4 B. 4.8 C. 5 D. 5.4

查看答案和解析>>

同步练习册答案