相关习题
 0  315429  315437  315443  315447  315453  315455  315459  315465  315467  315473  315479  315483  315485  315489  315495  315497  315503  315507  315509  315513  315515  315519  315521  315523  315524  315525  315527  315528  315529  315531  315533  315537  315539  315543  315545  315549  315555  315557  315563  315567  315569  315573  315579  315585  315587  315593  315597  315599  315605  315609  315615  315623  366461 

科目: 来源:山东济南市2016-2017学年度第二学期七年级4月月考数学试卷(含答案) 题型:单选题

如图所示,图中∠1与∠2是同位角的是( )

A. 1个 B. 2个 C. 3个 D. 4个

查看答案和解析>>

科目: 来源:山东济南市2016-2017学年度第二学期七年级4月月考数学试卷(含答案) 题型:单选题

在平面直角坐标系中,点P的横坐标是-3,且点P到x轴的距离为5,则P的坐标是( )

A. (-3,5)或(-3,-5) B. (5,-3)或(-5,-3)

C. (-3,5) D. (-3,-3)

查看答案和解析>>

科目: 来源:山东济南市2016-2017学年度第二学期七年级4月月考数学试卷(含答案) 题型:单选题

如图,下列能判定AB∥CD的条件有( )个.

(1) ; (2)

(3) ; (4) .

A. 1 B. 2 C. 3 D. 4

查看答案和解析>>

科目: 来源:山东济南市2016-2017学年度第二学期七年级4月月考数学试卷(含答案) 题型:单选题

有下列四个命题:①相等的角是对顶角;②同位角相等;③若一个角的两边与另一个角的两边互相平行,则这两个角一定相等;④从直线外一点到这条直线的垂线段,叫做点到直线的距离。其中是真命题的个数有( )

A. 0个 B. 1个 C. 2个 D. 3个

查看答案和解析>>

科目: 来源:山东济南市2016-2017学年度第二学期七年级4月月考数学试卷(含答案) 题型:单选题

如图,把长方形纸片沿EF折叠, D、C分别落在D’,C’的位置,若∠EFB = 65°,则∠AED’等于 ( )

A. 50° B. 55° C. 60° D. 65°

查看答案和解析>>

科目: 来源:山东济南市2016-2017学年度第二学期七年级4月月考数学试卷(含答案) 题型:单选题

如图,直线,∠A=125°,∠B=85°,则∠1+∠2=(   )

A. 30° B. 35° C. 36° D. 40°

查看答案和解析>>

科目: 来源:山东济南市2016-2017学年度第二学期七年级4月月考数学试卷(含答案) 题型:单选题

如图,两个全等的直角三角形重叠在一起,将其中的一个三角形沿着点B到C的方向平移到△DEF的位置,AB=10,DO=4,平移距离为6,则阴影部分面积为(  )

A. 48 B. 96 C. 84 D. 42

查看答案和解析>>

科目: 来源:山东济南市2016-2017学年度第二学期七年级4月月考数学试卷(含答案) 题型:填空题

﹣125的立方根是____,的平方根是________,如果=3,那么a=______,的绝对值是________, 的小数部分是_______

查看答案和解析>>

科目: 来源:山东济南市2016-2017学年度第二学期七年级4月月考数学试卷(含答案) 题型:填空题

命题“对顶角相等”的题设______________,结论________________

查看答案和解析>>

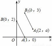
科目: 来源:山东济南市2016-2017学年度第二学期七年级4月月考数学试卷(含答案) 题型:填空题

如图,A、B的坐标分别为(1,0)、(0,2),若将线段AB平移到至A1B1,A1、B1的坐标分别为(2,a)、(b,3),则a+b=______.

查看答案和解析>>

同步练习册答案