相关习题
 0  315491  315499  315505  315509  315515  315517  315521  315527  315529  315535  315541  315545  315547  315551  315557  315559  315565  315569  315571  315575  315577  315581  315583  315585  315586  315587  315589  315590  315591  315593  315595  315599  315601  315605  315607  315611  315617  315619  315625  315629  315631  315635  315641  315647  315649  315655  315659  315661  315667  315671  315677  315685  366461 

科目: 来源:福建省莆田市人教版八年级数学上册:第15章 分式 测试卷 题型:填空题

已知,用含R1、R2的式子表示R,则R=___________

查看答案和解析>>

科目: 来源:福建省莆田市人教版八年级数学上册:第15章 分式 测试卷 题型:填空题

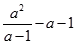
,则=_____________.

查看答案和解析>>

科目: 来源:福建省莆田市人教版八年级数学上册:第15章 分式 测试卷 题型:填空题

已知,则__________

查看答案和解析>>

科目: 来源:福建省莆田市人教版八年级数学上册:第15章 分式 测试卷 题型:填空题

海宝在研究数学问题时发现了一个有趣的现象:

请你用数学表达式补充完整海宝发现的这个有趣的现象:___________ , ___________ .

查看答案和解析>>

科目: 来源:福建省莆田市人教版八年级数学上册:第15章 分式 测试卷 题型:填空题

,,,…, ,若,则S="_________" (用含n的代数式表示,其中n为正整数).

查看答案和解析>>

科目: 来源:福建省莆田市人教版八年级数学上册:第15章 分式 测试卷 题型:解答题

计算与化简:

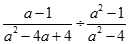
(1); (2)

(3); (4)

查看答案和解析>>

科目: 来源:福建省莆田市人教版八年级数学上册:第15章 分式 测试卷 题型:解答题

解下列分式方程

查看答案和解析>>

科目: 来源:福建省莆田市人教版八年级数学上册:第15章 分式 测试卷 题型:解答题

先化简,再求值: ,再任选一个适当的x值代入求值

查看答案和解析>>

科目: 来源:福建省莆田市人教版八年级数学上册:第15章 分式 测试卷 题型:解答题

(本题10分)“母亲节”前夕,某商店根据市场调查,用3000元购进第一批盒装花,上市后很快售完,接着又用5000元购进第二批这种盒装花.已知第二批所购花的盒数是第一批所购花盒数的2倍,且每盒花的进价比第一批的进价少5元.求第一批盒装花每盒的进价是多少元?

查看答案和解析>>

科目: 来源:福建省莆田市人教版八年级数学上册:第15章 分式 测试卷 题型:解答题

关于的方程: 的解为: (可变形为)的解为: 的解为: 的解为:

(1)请你根据上述方程与解的特征,比较关于的方程与它们的关系,猜想它的解是什么?

(2)请总结上面的结论,并求出方程的解.

查看答案和解析>>

同步练习册答案