相关习题
 0  315900  315908  315914  315918  315924  315926  315930  315936  315938  315944  315950  315954  315956  315960  315966  315968  315974  315978  315980  315984  315986  315990  315992  315994  315995  315996  315998  315999  316000  316002  316004  316008  316010  316014  316016  316020  316026  316028  316034  316038  316040  316044  316050  316056  316058  316064  316068  316070  316076  316080  316086  316094  366461 

科目: 来源:重庆市校2016-2017学年七年级下学期期中考试数学试卷 题型:填空题

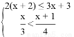
不等式的正整数解是______________________ 。

查看答案和解析>>

科目: 来源:重庆市校2016-2017学年七年级下学期期中考试数学试卷 题型:填空题

用白铁皮做罐头盒,每张铁皮可制盒身25个,或制盒底40个,一个盒身可以和两个盒底可制成一个罐头盒。现有36张白铁皮,设用x张制盒身,y张制盒底,恰好配套制成罐头盒,根据题意,可列方程组_________________。

查看答案和解析>>

科目: 来源:重庆市校2016-2017学年七年级下学期期中考试数学试卷 题型:填空题

王虎用100元买油菜籽、西红柿种子和萝卜籽共100包.油菜籽每包3元,西红柿种子每包4元,萝卜籽1元钱7包,问王虎油菜籽、西红柿、萝卜籽各买了_______包。

查看答案和解析>>

科目: 来源:重庆市校2016-2017学年七年级下学期期中考试数学试卷 题型:解答题

解方程(组)

(1) (2)

查看答案和解析>>

科目: 来源:重庆市校2016-2017学年七年级下学期期中考试数学试卷 题型:解答题

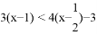
解不等式(组)

(1) (2) (在数轴上把解集表示出来)

查看答案和解析>>

科目: 来源:重庆市校2016-2017学年七年级下学期期中考试数学试卷 题型:解答题

若不等式的最小整数解是方程的解,

的值。

查看答案和解析>>

科目: 来源:重庆市校2016-2017学年七年级下学期期中考试数学试卷 题型:解答题

如果关于x、y的方程组的解满足x>0且y<0,请确定实数a的取值范围.

查看答案和解析>>

科目: 来源:重庆市校2016-2017学年七年级下学期期中考试数学试卷 题型:解答题

如图,在中,AD平分交BC于点D,AE是BC边上的高,,求的度数。

查看答案和解析>>

科目: 来源:重庆市校2016-2017学年七年级下学期期中考试数学试卷 题型:解答题

小明新家装修,在装修客厅时,购进彩色地砖和单色地砖共100块,共花费5600元.已知彩色地砖的单价是80元/块,单色地砖的单价是40元/块.

(1)两种型号的地砖各采购了多少块?

(2)如果厨房也要铺设这两种型号的地砖共60块,且采购地砖的费用不超过3200元,那么彩色地砖最多能采购多少块?

查看答案和解析>>

科目: 来源:重庆市校2016-2017学年七年级下学期期中考试数学试卷 题型:解答题

阅读下列材料,然后解答后面的问题。

我们知道方程有无数组解,但在实际生活中我们往往只需要求出其正整数解。例:由,得,( 为正整数)

则有.又为正整数,则为整数.

由2与3互质,可知: 为3的倍数,从而,代入.

的正整数解为

问题:(1)若为自然数,则满足条件的值有_____________个

(2)请你写出方程的所有正整数【解析】
_________________________

(3)若,请用含的式子表示,并求出它的所有整数解。

查看答案和解析>>

同步练习册答案