相关习题
 0  315905  315913  315919  315923  315929  315931  315935  315941  315943  315949  315955  315959  315961  315965  315971  315973  315979  315983  315985  315989  315991  315995  315997  315999  316000  316001  316003  316004  316005  316007  316009  316013  316015  316019  316021  316025  316031  316033  316039  316043  316045  316049  316055  316061  316063  316069  316073  316075  316081  316085  316091  316099  366461 

科目: 来源:江苏省2016-2017学年七年级数学上册第5周周练卷2016.10 题型:填空题

,请用“<”把a,b,-a,-b,0连接起来___________________.

查看答案和解析>>

科目: 来源:江苏省2016-2017学年七年级数学上册第5周周练卷2016.10 题型:填空题

已知互为相反数, 互为倒数, 的绝对值为3,则的值为_______.

查看答案和解析>>

科目: 来源:江苏省2016-2017学年七年级数学上册第5周周练卷2016.10 题型:解答题

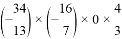
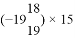
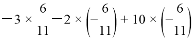
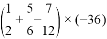
计算:

(1); (2)

(3); (4)

(5); (6)

(7); (8)

查看答案和解析>>

科目: 来源:江苏省2016-2017学年七年级数学上册第5周周练卷2016.10 题型:解答题

是最大的负整数, =,求

查看答案和解析>>

科目: 来源:江苏省2016-2017学年七年级数学上册第5周周练卷2016.10 题型:解答题

将下列各数在给出的数轴上表示出来,并用“<”把它们连接起来.

,|-2.5|,0,-(+2),-(-4).-(2)

【解析】
(1)

查看答案和解析>>

科目: 来源:江苏省2016-2017学年七年级数学上册第5周周练卷2016.10 题型:解答题

对于有理数,定义运算:

(1)计算的值;

(2)填空:(填“>”或“=”或“<”);

查看答案和解析>>

科目: 来源:江苏省2016-2017学年七年级数学上册第5周周练卷2016.10 题型:解答题

粮库三天内发生粮食进出库的吨数如下:+26,-32,-15,+34,-38,-20.(其中“+”表示进库,“-”表示出库)

(1)经过这三天,库里的粮食是增多(或是减少)了多少?

(2)经过这三天,仓库管理员结算发现库里还存粮480吨,那么三天前库里存粮多少吨?

(3)如果进出的装卸费都是每吨5元,那么这三天要付多少装卸费?

查看答案和解析>>

科目: 来源:江苏省2016-2017学年七年级数学上册第5周周练卷2016.10 题型:解答题

数轴是一个非常重要的数学工具,它使数和数轴上的点建立起对应关系,揭示了数与点之间的内在联系,它是“数形结合”的基础。结合数轴与绝对值的知识回答下列问题:

(1)数轴上表示1和4的两点之间的距离是______;表示-3和2的两点之间的距离是______;

表示数a和-2的两点之间的距离是3,那么a=________;一般地,数轴上表示数a和数b的两点之间的距离等于__________.

(2)若数轴上表示数a的点位于-4与2之间,则=_______.

(3)是否存在数a,使代数式的值最小?如果存在,请写出数a=______,此时代数式的最小值是__________.

查看答案和解析>>

科目: 来源:北京市门头沟区2016-2017学年度第二学期期末考试七年级数学试卷及答案(WORD版) 题型:单选题

点P(2,1)在平面直角坐标系中所在的象限是( )

A. 第一象限 B. 第二象限 C. 第三象限 D. 第四象限

查看答案和解析>>

科目: 来源:北京市门头沟区2016-2017学年度第二学期期末考试七年级数学试卷及答案(WORD版) 题型:单选题

计算的结果是( )

A. 0 B. 1 C. 50 D. 5

查看答案和解析>>

同步练习册答案