相关习题
 0  315933  315941  315947  315951  315957  315959  315963  315969  315971  315977  315983  315987  315989  315993  315999  316001  316007  316011  316013  316017  316019  316023  316025  316027  316028  316029  316031  316032  316033  316035  316037  316041  316043  316047  316049  316053  316059  316061  316067  316071  316073  316077  316083  316089  316091  316097  316101  316103  316109  316113  316119  316127  366461 

科目: 来源:山东省2016-2017学年八年级下学期第二次月考数学试卷 题型:填空题

定义为二阶行列式,规定它是运算法则为=ad-bc,那么当x=1时,二阶行列式的值为

查看答案和解析>>

科目: 来源:山东省2016-2017学年八年级下学期第二次月考数学试卷 题型:解答题

计算: .

查看答案和解析>>

科目: 来源:山东省2016-2017学年八年级下学期第二次月考数学试卷 题型:解答题

我校要对如图所示的一块地进行绿化,已知AD=4m,CD=3m, AD⊥DC,AB=13m,BC=12m,求这块地的面积.

查看答案和解析>>

科目: 来源:山东省2016-2017学年八年级下学期第二次月考数学试卷 题型:解答题

莲城超市以10元/件的价格调进一批商品,根据前期销售情况,每天销售量y(件)与该商品定价x(元)是一次函数关系,如图所示.

(1)求销售量y与定价x之间的函数关系式;

(2)如果超市将该商品的销售价定为13元/件,不考虑其它因素,求超市每天销售这种商品所获得的利润.

查看答案和解析>>

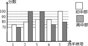
科目: 来源:山东省2016-2017学年八年级下学期第二次月考数学试卷 题型:解答题

我市某中学举行“中国梦•校园好声音”歌手大赛,高、初中部根据初赛成绩,各选出5名选手组成初中代表队和高中代表队参加学校决赛,两个队各选出的5名选手的决赛成绩如图所示.

平均分(分)

中位数(分)

众数(分)

初中部

   

85

   

高中部

85

   

100

(1)根据图示填写表;

(2)结合两队成绩的平均数和中位数进行分析,哪个队的决赛成绩较好?

(3)计算两队决赛成绩的方差,并判断哪一个代表队选手成绩较为稳定.

查看答案和解析>>

科目: 来源:山东省2016-2017学年八年级下学期第二次月考数学试卷 题型:解答题

如图,在△ABC中,AD是BC边上的中线,E是AD的中点,过点A作BC的平行线交BE的延长线于点F,连接CF.

(1)求证:AF=BD;

(2)若AB⊥AC,试判断四边形ADCF的形状,并证明你的结论.

查看答案和解析>>

科目: 来源:山东省2016-2017学年八年级下学期第二次月考数学试卷 题型:解答题

某县区大力发展甜瓜产业,预计今年A地将采摘200吨,B地将采摘300吨.若要将这些甜瓜运到甲、乙两个冷藏仓库,已知甲仓库可储存240吨,乙仓库可储存260吨,从A地运往甲、乙两处的费用分别为每吨20元和25元,从B地运往甲、乙两处的费用分别为每吨15元和18元.设从A地运往甲仓库的甜瓜为x吨,A、B两地运往两仓库的甜瓜运输费用分别为.

(1)分别求出与x之间的函数关系式;

(2)试讨论A、B两地中,哪个的运费较少;

(3)考虑B地的经济承受能力,B地的甜瓜运费不得超过4830元,在这种情况下,请问怎样调运才能使两地运费之和最少?求出这个最小值.

查看答案和解析>>

科目: 来源:2017年福建省龙岩市中考数学一模试卷 题型:单选题

3x2可以表示为(  )

A. x2+x2+x2 B. x2•x2•x2 C. 3x•3x D. 9x

查看答案和解析>>

科目: 来源:2017年福建省龙岩市中考数学一模试卷 题型:单选题

已知圆周率π=3.1415926…,将π精确到千分位的结果是(  )

A. 3.1 B. 3.14 C. 3.141 D. 3.142

查看答案和解析>>

科目: 来源:2017年福建省龙岩市中考数学一模试卷 题型:单选题

下列计算正确的是(  )

A. (x+y)2=x2+y2 B. (x﹣y)2=x2﹣2xy﹣y2

C. (x+1)(x﹣1)=x2﹣1 D. (x﹣1)2=x2﹣1

查看答案和解析>>

同步练习册答案