相关习题
 0  315941  315949  315955  315959  315965  315967  315971  315977  315979  315985  315991  315995  315997  316001  316007  316009  316015  316019  316021  316025  316027  316031  316033  316035  316036  316037  316039  316040  316041  316043  316045  316049  316051  316055  316057  316061  316067  316069  316075  316079  316081  316085  316091  316097  316099  316105  316109  316111  316117  316121  316127  316135  366461 

科目: 来源:广西贵港市港南区2016-2017学年七年级(下)期末数学试卷 题型:填空题

任何一个正整数n都可以写成两个正整数相乘的形式,对于两个因数的差的绝对值最小的一种分解a=m×n(m≤n)可称为正整数a的最佳分解,并记作F(a)=.如:12=1×12=2×6=3×4,则F(12)=.则在以下结论:①F(5)=5;②F(24)=;③若a是一个完全平方数,则F(a)=1;④若a是一个完全立方数,即a=x3(x是正整数),则F(a)=x.则正确的结论有_____(填序号)

查看答案和解析>>

科目: 来源:广西贵港市港南区2016-2017学年七年级(下)期末数学试卷 题型:解答题

(1)因式分【解析】
4x2﹣16

(2)解方程组

查看答案和解析>>

科目: 来源:广西贵港市港南区2016-2017学年七年级(下)期末数学试卷 题型:解答题

已知实数a、b满足ab=1,a+b=2,求代数式a2b+ab2的值.

查看答案和解析>>

科目: 来源:广西贵港市港南区2016-2017学年七年级(下)期末数学试卷 题型:解答题

如图,已知AB∥CD,∠B=65°,CM平分∠BCE,∠MCN=90°,求∠DCN的度数.

查看答案和解析>>

科目: 来源:广西贵港市港南区2016-2017学年七年级(下)期末数学试卷 题型:解答题

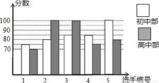
我市某中学举行“中国梦•校园好声音”歌手大赛,高、初中部根据初赛成绩,各选出5名选手组成初中代表队和高中代表队参加学校决赛,两个队各选出的5名选手的决赛成绩如图所示.

平均分(分)

中位数(分)

众数(分)

初中部

   

85

   

高中部

85

   

100

(1)根据图示填写表;

(2)结合两队成绩的平均数和中位数进行分析,哪个队的决赛成绩较好?

(3)计算两队决赛成绩的方差,并判断哪一个代表队选手成绩较为稳定.

查看答案和解析>>

科目: 来源:广西贵港市港南区2016-2017学年七年级(下)期末数学试卷 题型:解答题

今年海南西瓜收成良好,小华家也喜获丰收,小华家今年种植“黑美人”西瓜5亩,“无籽”西瓜20亩,共收70000千克,按市场价“黑美人”每千克2.4元,“无籽”西瓜每千克4元出售,收入264000元.

(1)小华家今年种植的“黑美人”西瓜和“无籽”西瓜亩产各多少千克?

(2)如果知道种植1亩“黑美人”西瓜的成本为3000元,1亩“无籽”西瓜的成本为4000元,小华家今年种植西瓜共赚了多少钱?

查看答案和解析>>

科目: 来源:广西贵港市港南区2016-2017学年七年级(下)期末数学试卷 题型:解答题

将方格纸中的三角形ABC先向右平移2格得到三角形DEF,再将三角形DEF向上平移3格得到三角形GPH.

(1)作图(不要求写作法):按上面步骤作出经过两次平移后分别得到的三角形;

(2)填空:图中与AC既平行又相等的线段有   ,图中有   个平行四边形?

(3)线段AD与BF是什么位置关系和数量关系?

查看答案和解析>>

科目: 来源:广西贵港市港南区2016-2017学年七年级(下)期末数学试卷 题型:解答题

如图,直线EF,CD相交于点0,OA⊥OB,且OC平分∠AOF,

(1)若∠AOE=40°,求∠BOD的度数;

(2)若∠AOE=α,求∠BOD的度数;(用含α的代数式表示)

(3)从(1)(2)的结果中能看出∠AOE和∠BOD有何关系?

查看答案和解析>>

科目: 来源:广西贵港市港南区2016-2017学年七年级(下)期末数学试卷 题型:解答题

如图(1),E是直线AB、CD内部一点,AB∥CD,连接EA、ED.

(1)探究:

①若∠A=30°,∠D=40°,则∠AED等于多少度?

②若∠A=20°,∠D=60°,则∠AED等于多少度?

③在图(1)中∠AED、∠EAB、∠EDC有什么数量关系,并证明你的结论.

(2)拓展:如图(2),射线FE与矩形ABCD的边AB交于点E,与边CD交于点F,①②③④分别是被射线FE隔开的四个区域(不含边界,其中③④位于直线AB的上方),P是位于以上四个区域上点,猜想:∠PEB、∠PFC、∠EPF之间的关系.(不要求证明)

查看答案和解析>>

科目: 来源:广东省梅州市2016-2017学年七年级下学期第二次月考数学试卷 题型:单选题

下列计算正确的是( )

A. B.

C. D.

查看答案和解析>>

同步练习册答案