相关习题
 0  315995  316003  316009  316013  316019  316021  316025  316031  316033  316039  316045  316049  316051  316055  316061  316063  316069  316073  316075  316079  316081  316085  316087  316089  316090  316091  316093  316094  316095  316097  316099  316103  316105  316109  316111  316115  316121  316123  316129  316133  316135  316139  316145  316151  316153  316159  316163  316165  316171  316175  316181  316189  366461 

科目: 来源:河南省招生考试全真模拟数学试卷word版有答案 题型:单选题

如图,动点P从(0,3)出发,沿所示方向运动,每当碰到矩形的边时反弹,反弹时反射角等于入射角,当点P第2017次碰到矩形的边时,此时点P的坐标为(  )

A. (0,3) B. (3,0) C. (1,4) D. (7,2)

查看答案和解析>>

科目: 来源:河南省招生考试全真模拟数学试卷word版有答案 题型:填空题

计算-1-=------------------。

查看答案和解析>>

科目: 来源:河南省招生考试全真模拟数学试卷word版有答案 题型:填空题

如图,l1∥l2∥l3,BC=3,=2,则AB=-----------------。

查看答案和解析>>

科目: 来源:河南省招生考试全真模拟数学试卷word版有答案 题型:填空题

当m满足---------------时,关于x的方程x2-4x+m=0有两个不相等的实数根.

查看答案和解析>>

科目: 来源:河南省招生考试全真模拟数学试卷word版有答案 题型:填空题

如图,在等腰Rt△ABC中,∠C=90°,AC=2,以BC边的中点D为圆心,以CD的长为半径作弧,交AB于点E;以点A为圆心,以AC的长为半径作弧,交AB于点F,则阴影部分的面积为_____.

查看答案和解析>>

科目: 来源:河南省招生考试全真模拟数学试卷word版有答案 题型:填空题

如图,在矩形ABCD中,AD=5,AB=8,点E为射线DC上一个动点,把△ADE沿直线AE折叠,当点D的对应点F刚好落在线段AB的垂直平分线上时,则DE的长为________.

查看答案和解析>>

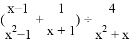
科目: 来源:河南省招生考试全真模拟数学试卷word版有答案 题型:解答题

先化简,再求值:,其中x=-2

查看答案和解析>>

科目: 来源:河南省招生考试全真模拟数学试卷word版有答案 题型:解答题

为了了解大气污染情况,某学校兴趣小组搜集了20I7年上半年中120天郑州市的空气质量指数,绘制了如下不完整的统计图表:

请根据图表中提供的信息,解答下面的问题:

(1)空气质量指数统计表中的a=_________,m=_________;

(2)请把空气质量指数条形统计图补充完整;

(3)若绘制“空气质量指数扇形统计图”,级别为“优”所对应扇形的圆心角是_________。

(4)请通过计算估计郑州市2017年(365)天冲空气质量指数大于100的天数。

查看答案和解析>>

科目: 来源:河南省招生考试全真模拟数学试卷word版有答案 题型:解答题

如图,AB是半圆O的直径,点P是半圆上不与点A、B重合的动点,BC∥OP,BC=OP.

(1)求证:四边形AOCP是平行四边形;

(2)若AB=4,填空:

①当AP=   时,四边形AOCP是菱形;

②当AP=   时,四边形OBCP是正方形.

查看答案和解析>>

科目: 来源:河南省招生考试全真模拟数学试卷word版有答案 题型:解答题

如图所示,某教学活动小组选定测量山顶铁塔AE的高,他们在30m高的楼CD的底部点D测得塔顶A的仰角为45°,在楼顶C测得塔顶A的仰角为36°52′.若小山高BE=62m,楼的底部D与山脚在同一水平面上,求铁塔的高AE.(参考数据:sin36°52′≈0.60,tan36°52′≈0.75)

查看答案和解析>>

同步练习册答案