相关习题
 0  316340  316348  316354  316358  316364  316366  316370  316376  316378  316384  316390  316394  316396  316400  316406  316408  316414  316418  316420  316424  316426  316430  316432  316434  316435  316436  316438  316439  316440  316442  316444  316448  316450  316454  316456  316460  316466  316468  316474  316478  316480  316484  316490  316496  316498  316504  316508  316510  316516  316520  316526  316534  366461 

科目: 来源:黑龙江省大庆市林甸县2016-2017学年八年级(下)期末模拟试卷 题型:填空题

不等式9﹣3x>0的非负整数解是_____.

查看答案和解析>>

科目: 来源:黑龙江省大庆市林甸县2016-2017学年八年级(下)期末模拟试卷 题型:填空题

正八边形的每个外角的度数为_____.

查看答案和解析>>

科目: 来源:黑龙江省大庆市林甸县2016-2017学年八年级(下)期末模拟试卷 题型:填空题

如图,在正方形OABC中,O为坐标原点,点C在y轴正半轴上,点A的坐标为(2,0),将正方形OABC沿着OB方向平移OB个单位,则点C的对应点坐标为_____.

查看答案和解析>>

科目: 来源:黑龙江省大庆市林甸县2016-2017学年八年级(下)期末模拟试卷 题型:填空题

四边形ABCD中,AD∥BC,要使四边形ABCD成为平行四边形还需满足的条件是_____(横线只需填一个你认为合适的条件即可)

查看答案和解析>>

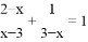
科目: 来源:黑龙江省大庆市林甸县2016-2017学年八年级(下)期末模拟试卷 题型:填空题

不等式的解集是_____.

查看答案和解析>>

科目: 来源:黑龙江省大庆市林甸县2016-2017学年八年级(下)期末模拟试卷 题型:填空题

在等腰△ABC中,AD⊥BC交直线BC于点D,若AD=BC,则△ABC的顶角的度数为_____.

查看答案和解析>>

科目: 来源:黑龙江省大庆市林甸县2016-2017学年八年级(下)期末模拟试卷 题型:填空题

如图,边长为4的等边△AOB在平面直角坐标系中的位置如图所示,则点A的坐标为_____.

查看答案和解析>>

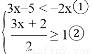
科目: 来源:黑龙江省大庆市林甸县2016-2017学年八年级(下)期末模拟试卷 题型:解答题

解不等式组

查看答案和解析>>

科目: 来源:黑龙江省大庆市林甸县2016-2017学年八年级(下)期末模拟试卷 题型:解答题

先化简,再求值: ,其中x=+1.

查看答案和解析>>

科目: 来源:黑龙江省大庆市林甸县2016-2017学年八年级(下)期末模拟试卷 题型:解答题

(1)计算: +|3﹣|﹣2sin60°+(2017﹣π)0+()﹣2

(2)解方程:

查看答案和解析>>

同步练习册答案