相关习题
 0  316362  316370  316376  316380  316386  316388  316392  316398  316400  316406  316412  316416  316418  316422  316428  316430  316436  316440  316442  316446  316448  316452  316454  316456  316457  316458  316460  316461  316462  316464  316466  316470  316472  316476  316478  316482  316488  316490  316496  316500  316502  316506  316512  316518  316520  316526  316530  316532  316538  316542  316548  316556  366461 

科目: 来源:2017年河北省石家庄市裕华区中考数学模拟试卷(3月份) 题型:单选题

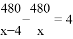
某农场开挖一条长480米的渠道,开工后每天比原计划多挖20米,结果提前4天完成任务,若设原计划每天挖x米,那么求x时所列方程正确的是(  )

A. B.

C. D.

查看答案和解析>>

科目: 来源:2017年河北省石家庄市裕华区中考数学模拟试卷(3月份) 题型:单选题

在平面直角坐标系中,点A、B、C、D是坐标轴上的点且点C坐标是(0,﹣1),AB=5,点(a,b)在如图所示的阴影部分内部(不包括边界),已知OA=OD=4,则a的取值范围是(  )

A. B.

C. D.

查看答案和解析>>

科目: 来源:2017年河北省石家庄市裕华区中考数学模拟试卷(3月份) 题型:单选题

用直尺和圆规作Rt△ABC斜边AB上的高线CD,以下四个作图中,作法错误的是(  )

A. B.

C. D.

查看答案和解析>>

科目: 来源:2017年河北省石家庄市裕华区中考数学模拟试卷(3月份) 题型:单选题

如图,O为坐标原点,四边形OACB是菱形,OB在x轴的正半轴上,sin∠AOB= ,反比例函数y=在第一象限内的图象经过点A,与BC交于点F,则△AOF的面积等于(  )

A. 60 B. 80 C. 30 D. 40

查看答案和解析>>

科目: 来源:2017年河北省石家庄市裕华区中考数学模拟试卷(3月份) 题型:单选题

如图1,在等边△ABC中,点E、D分别是AC,BC边的中点,点P为AB边上的一个动点,连接PE,PD,PC,DE.设AP=x,图1中某条线段的长为y,若表示y与x的函数关系的图象大致如图2所示,则这条线段可能是图1中的(  )

A. 线段PD B. 线段PC C. 线段PE D. 线段DE

查看答案和解析>>

科目: 来源:2017年河北省石家庄市裕华区中考数学模拟试卷(3月份) 题型:填空题

若m、n互为倒数,则mn2﹣(n﹣1)的值为_____.

查看答案和解析>>

科目: 来源:2017年河北省石家庄市裕华区中考数学模拟试卷(3月份) 题型:填空题

如图,已知圆锥的高为 ,高所在直线与母线的夹角为30°,圆锥的侧面积为_____.

查看答案和解析>>

科目: 来源:2017年河北省石家庄市裕华区中考数学模拟试卷(3月份) 题型:填空题

对于二次函数y=x2﹣3x+2和一次函数y=﹣2x+4,把y=t(x2﹣3x+2)+(1﹣t)(﹣2x+4)(t为常数)称为这两个函数的“再生二次函数”.其中t是不为零的实数,其图象记作抛物线F,现有点A(2,0)和抛物线F上的点B(﹣1,n),下列结论正确的有_____.

①n的值为6;

②点A在抛物线F上;

③当t=2时,“再生二次函数”y在x>2时,y随x的增大而增大

④当t=2时,抛物线F的顶点坐标是(1,2)

查看答案和解析>>

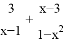
科目: 来源:2017年河北省石家庄市裕华区中考数学模拟试卷(3月份) 题型:解答题

请你阅读小明和小红两名同学的解题过程,并回答所提出的问题.

计算:

问:小明在第   步开始出错,小红在第   步开始出错(写出序号即可);请你给出正确解答过程.

查看答案和解析>>

科目: 来源:2017年河北省石家庄市裕华区中考数学模拟试卷(3月份) 题型:解答题

某学校为了丰富学生课余生活,决定开设以下体育课外活动项目:A.版画  B.保龄球C.航模  D.园艺种植,为了解学生最喜欢哪一种活动项目,随机抽取了部分学生进行调查,并将调查结果绘制成了两幅不完整的统计图,请回答下列问题:

(1)这次被调查的学生共有   人;

(2)请你将条形统计图(2)补充完整;

(3)在平时的保龄球项目训练中,甲、乙、丙、丁四人表现优秀,现决定从这四名同学中任选两名参加保龄球比赛,求恰好选中甲、乙两位同学的概率(用树状图或列表法解答)

查看答案和解析>>

同步练习册答案