相关习题
 0  316446  316454  316460  316464  316470  316472  316476  316482  316484  316490  316496  316500  316502  316506  316512  316514  316520  316524  316526  316530  316532  316536  316538  316540  316541  316542  316544  316545  316546  316548  316550  316554  316556  316560  316562  316566  316572  316574  316580  316584  316586  316590  316596  316602  316604  316610  316614  316616  316622  316626  316632  316640  366461 

科目: 来源:江苏省启东市2017-2018学年八年级上学期开学考试数学试卷 题型:单选题

平面直角坐标系中,点A(﹣3,2),B(3,4),C(x,y),若AC∥x轴,则线段BC的最小值及此时点C的坐标分别为(  )

A. 6,(﹣3,4) B. 2,(3,2) C. 2,(3,0) D. 1,(4,2)

查看答案和解析>>

科目: 来源:江苏省启东市2017-2018学年八年级上学期开学考试数学试卷 题型:单选题

已知关于的不等式组的解集为3≤<5,则的值为(  )

A. -2 B. C. -4 D.

查看答案和解析>>

科目: 来源:江苏省启东市2017-2018学年八年级上学期开学考试数学试卷 题型:单选题

若不等式组有解,则k的取值范围是(  )

A. k<2 B. k≥2 C. k<1 D. 1≤k<2

查看答案和解析>>

科目: 来源:江苏省启东市2017-2018学年八年级上学期开学考试数学试卷 题型:单选题

桌面上有甲、乙、丙三个杯子,三杯内原本均装有一些水.先将甲杯的水全部倒入丙杯,此时丙杯的水量为原本甲杯内水量的2倍多40毫升;再将乙杯的水全部倒入丙杯,此时丙杯的水量为原本乙杯内水量的3倍少180毫升.若过程中水没有溢出,则原本甲、乙两杯内的水量相差多少毫升?(  )

A. 80 B. 110 C. 140 D. 220

查看答案和解析>>

科目: 来源:江苏省启东市2017-2018学年八年级上学期开学考试数学试卷 题型:填空题

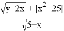
已知=0,则7(x+y)﹣20的立方根是____.

查看答案和解析>>

科目: 来源:江苏省启东市2017-2018学年八年级上学期开学考试数学试卷 题型:填空题

规定用符号[m]表示一个实数m的整数部分,例如:[]=0,[3.14]=3.按此规定[]的值为____.

查看答案和解析>>

科目: 来源:江苏省启东市2017-2018学年八年级上学期开学考试数学试卷 题型:填空题

若第二象限内的点P(x,y)满足|x|=3,y2=25,则点P的坐标是_____.

查看答案和解析>>

科目: 来源:江苏省启东市2017-2018学年八年级上学期开学考试数学试卷 题型:填空题

如果两个角的两边分别平行,而其中一个角比另一个角的4倍少30°,那么这两个角是____.

查看答案和解析>>

科目: 来源:江苏省启东市2017-2018学年八年级上学期开学考试数学试卷 题型:填空题

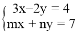
已知方程租有相同的解,则m+n=_____.

查看答案和解析>>

科目: 来源:江苏省启东市2017-2018学年八年级上学期开学考试数学试卷 题型:填空题

《孙子算经》中有一道题:“今有木,不知长短,引绳度之,余绳四尺五寸;屈绳量之,不足一尺,木长几何?”译文大致是:“用一根绳子去量一根木条,绳子剩余尺;将绳子对折再量木条,木条剩余尺,问木条长多少尺?”如果设木条长尺,绳子长尺,可列方程组为___________;

查看答案和解析>>

同步练习册答案