相关习题
 0  49328  49336  49342  49346  49352  49354  49358  49364  49366  49372  49378  49382  49384  49388  49394  49396  49402  49406  49408  49412  49414  49418  49420  49422  49423  49424  49426  49427  49428  49430  49432  49436  49438  49442  49444  49448  49454  49456  49462  49466  49468  49472  49478  49484  49486  49492  49496  49498  49504  49508  49514  49522  366461 

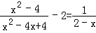
科目: 来源:四川省中考真题 题型:计算题

计算:

查看答案和解析>>

科目: 来源:广东省中考真题 题型:计算题

计算:|-3|-+(-2012)0

查看答案和解析>>

科目: 来源:湖北省中考真题 题型:填空题

计算﹣(﹣2)﹣2﹣(﹣2)0=(      )

查看答案和解析>>

科目: 来源:湖北省中考真题 题型:计算题

计算:

查看答案和解析>>

科目: 来源:山西省中考真题 题型:计算题

(1)计算:
(2)先化简,再求值.(2x+3)(2x﹣3)﹣4x(x﹣1)+(x﹣2)2,其中x=﹣

查看答案和解析>>

科目: 来源:专项题 题型:填空题

(1)计算:=(    );
(2)分解因式:3a2﹣6a+3=(    );
(3)化简:=(    )。

查看答案和解析>>

科目: 来源:专项题 题型:填空题

(1)=(    );
(2)解方程,解得x=(    )。

查看答案和解析>>

科目: 来源:浙江省中考真题 题型:计算题

计算:
(1)|-5|+﹣32;
(2)(x+1)2﹣x(x+2)

查看答案和解析>>

科目: 来源:专项题 题型:填空题

计算:(1+﹣4sin45°+(=_________

查看答案和解析>>

科目: 来源:广东省中考真题 题型:填空题

计算:(    )。

查看答案和解析>>

同步练习册答案