相关习题
 0  60713  60721  60727  60731  60737  60739  60743  60749  60751  60757  60763  60767  60769  60773  60779  60781  60787  60791  60793  60797  60799  60803  60805  60807  60808  60809  60811  60812  60813  60815  60817  60821  60823  60827  60829  60833  60839  60841  60847  60851  60853  60857  60863  60869  60871  60877  60881  60883  60889  60893  60899  60907  366461 

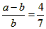
科目: 来源:江苏期中题 题型:填空题

,则=(    )。

查看答案和解析>>

科目: 来源:江苏期中题 题型:解答题

已知a、b、c、d是成比例线段,其中a=3,b=2,c=6cm,求线段d的长。

查看答案和解析>>

科目: 来源:江苏期中题 题型:解答题

已知线段a、b、c,a=4cm,b=9cm,线段c是线段a和b的比例中项。求线段c的长。

查看答案和解析>>

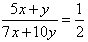
科目: 来源:江苏省期中题 题型:填空题

,则的值为(    )。

查看答案和解析>>

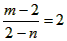
科目: 来源:江苏省期中题 题型:单选题

已知,则用含n的代数式表示正确的是
[     ]
A.m=2n+6
B.m=-2n+6
C.m=2n-6
D.m=-2n-6

查看答案和解析>>

科目: 来源:江西省期中题 题型:填空题

若3x-2y=0,则(x+y)∶(x-y)=(    )。

查看答案和解析>>

科目: 来源:期中题 题型:填空题

,则=(    )。

查看答案和解析>>

科目: 来源:河北省期中题 题型:单选题

,则的值是
[     ]
A.
B.
C.
D.

查看答案和解析>>

科目: 来源:期末题 题型:填空题

,则=(    )。

查看答案和解析>>

科目: 来源:福建省期中题 题型:填空题

已知:,则=(    )。

查看答案和解析>>

同步练习册答案