相关习题
 0  61130  61138  61144  61148  61154  61156  61160  61166  61168  61174  61180  61184  61186  61190  61196  61198  61204  61208  61210  61214  61216  61220  61222  61224  61225  61226  61228  61229  61230  61232  61234  61238  61240  61244  61246  61250  61256  61258  61264  61268  61270  61274  61280  61286  61288  61294  61298  61300  61306  61310  61316  61324  366461 

科目: 来源:广东省期末题 题型:填空题

cos60°=(    )。

查看答案和解析>>

科目: 来源:江苏期末题 题型:计算题

计算:sin245°+tan30°·cos60°

查看答案和解析>>

科目: 来源:四川省期末题 题型:单选题

sin230°+cos230°=
[     ]
A.
B.
C.
D.1

查看答案和解析>>

科目: 来源:山东省期末题 题型:填空题

化简(    )。

查看答案和解析>>

科目: 来源:四川省期末题 题型:填空题

计算:sin30°·tan45°=(    )。

查看答案和解析>>

科目: 来源:重庆市期中题 题型:解答题

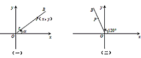
如图(一),在平面直角坐标系中,射线OA与x轴的正半轴重合,射线OA绕着原点O逆时针到OB位置,把转过的角度记为α,把射线OA称为∠α的始边,射线OB称为∠α的终边。设α是一个任意角,α的终边上任意一点P(除端点外)的坐标是P(x,y),它到原点的距离是r=PO=,那么:定义:∠α的正弦sinα=,∠α的余弦cosα=,∠α的正切tanα=,根据以上的定义当α=120°时,如图(二)在120°角的终边OB上取一点P(-1,),则x=-1,y=,r==2;sin120°=,cos120°=
tan120°=

根据以上所学知识填空:
(1)sin150°=_____,cos150°=_____,tan150°=_____;
(2)猜想sin(180°-α)的关系式为_____;
猜想cos(180°-α)的关系式为_____;
猜想tan(180°-α)与tanα的关系式为_____;
(3)sin135°=_____,cos135°_____,tan135°_____。

查看答案和解析>>

科目: 来源:广东省期中题 题型:单选题

cos45°的值是
[     ]
A.
B.
C.
D.1

查看答案和解析>>

科目: 来源:期末题 题型:解答题

要求tan30°的值,可构造如如所示的直角三角形进行计算,作Rt△ABC,使∠C=90°,斜边AB=2,直角边AC=1,那么BC=,∠ABC=30°,所以tan30°=,在如图所示的基础上,通过添加适当的辅助线,可求tan15°的值,请简要写出你添加的辅助线,并求出tan15°的值。

查看答案和解析>>

科目: 来源:广东省期末题 题型:单选题

sin30°的值为

[     ]

A.
B.
C.
D.

查看答案和解析>>

科目: 来源:广东省期末题 题型:计算题

计算:

查看答案和解析>>

同步练习册答案