相关习题
 0  61165  61173  61179  61183  61189  61191  61195  61201  61203  61209  61215  61219  61221  61225  61231  61233  61239  61243  61245  61249  61251  61255  61257  61259  61260  61261  61263  61264  61265  61267  61269  61273  61275  61279  61281  61285  61291  61293  61299  61303  61305  61309  61315  61321  61323  61329  61333  61335  61341  61345  61351  61359  366461 

科目: 来源:不详 题型:单选题

已知∠a=60°,则sina的值是(  )
A.
1
2
B.
3
2
C.
3
D.
2
2

查看答案和解析>>

科目: 来源:福建省月考题 题型:填空题

计算:2cos60 °﹣tan45 °=(    ).

查看答案和解析>>

科目: 来源: 题型:

,则         

查看答案和解析>>

科目: 来源:不详 题型:解答题

计算:
tan60°-tan45°
1+tan60°•tan45°
+2sin60°
(4sin30°-tan60°)(cot30°+4cos60°)

查看答案和解析>>

科目: 来源: 题型:

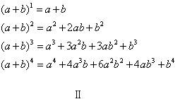
大家一定熟知杨辉三角(Ⅰ),观察下列等式(Ⅱ)

根据前面各式规律,则      

查看答案和解析>>

科目: 来源:不详 题型:解答题

计算下列各题:
(1)sin230°+cos245°+
2
sin60°•tan45°;
(2)
12
-4sin60°+(tan30°+1)0

查看答案和解析>>

科目: 来源: 题型:

解方程:

查看答案和解析>>

科目: 来源:不详 题型:解答题

sin30°+sin45°-
1
3
tan260°

查看答案和解析>>

科目: 来源:不详 题型:解答题

计算sin225°+2sin60°+tan45°-tan60°+cos225°的值.

查看答案和解析>>

科目: 来源:不详 题型:填空题

若4cos2α-1=0,则锐角α=______度.

查看答案和解析>>

同步练习册答案