相关习题
 0  62598  62606  62612  62616  62622  62624  62628  62634  62636  62642  62648  62652  62654  62658  62664  62666  62672  62676  62678  62682  62684  62688  62690  62692  62693  62694  62696  62697  62698  62700  62702  62706  62708  62712  62714  62718  62724  62726  62732  62736  62738  62742  62748  62754  62756  62762  62766  62768  62774  62778  62784  62792  366461 

科目: 来源:山东省中考真题 题型:解答题

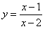
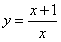
类比二次函数的图象的平移,我们对反比例函数的图象作类似的变换:
(1)将的图象向右平移1个单位,所得图象的函数表达式为______,再向上平移1个单位,所得图象的函数表达式为_______;
(2)函数的图象可由的图象向______平移______个单位得到;的图象可由哪个反比例函数的图象经过怎样的变换得到?
(3)一般地,函数的图象可由哪个反比例函数的图象经过怎样的变换得到?

查看答案和解析>>

科目: 来源:中考真题 题型:单选题

如图,将网格中的三条线段沿网格线平移后组成一个首尾相接的三角形,至少需要移动

[     ]

A、8格
B、9格
C、11格
D、12格

查看答案和解析>>

科目: 来源:辽宁省中考真题 题型:填空题

将抛物线y=2(x+1)2-3向右平移1个单位,再向上平移3个单位,则所得抛物线的表达式为(    )。

查看答案和解析>>

科目: 来源:同步题 题型:解答题

如图所示,阴影部分的面积占总面积的几分之几?

查看答案和解析>>

科目: 来源:湖北省期末题 题型:解答题

如图,在10×10正方形网格中,每个小正方形的边长均为1个单位长度。

(1)以P为原点,建立适当的平面直角坐标系,写出点A的坐标;
(2)将△ABC先向下平移3个单位,再向右平移5个单位得到△A1B1C1,画出△A1B1C1,并写出点C1的坐标;
(3)M(a,b)是△ABC内的一点,△ABC经过某种变换后点M的对应点为M2(a+1,b-6),画出 △A2B2C2

查看答案和解析>>

科目: 来源:广东省期末题 题型:解答题

△ABC在如图所示的平面直角中,将其平移后得△A′B′C′,若B的对应点B′的坐标是(-2,2)。
(1)在图中画出△A′B′C′;
(2)此次平移可看作将△ABC向_____平移了____个单位长度, 再向___平移了___个单位长度得△A′B′C′;
(3)△ABC的面积为____________。(△ABC的面积可以看作一个长方形的面积减去一些小三角形的面积)

查看答案和解析>>

科目: 来源:湖南省中考真题 题型:单选题

下列A、B、C、D四幅图案中,能通过平移图案(1)得到的是


(1)

[     ]

A.
B.
C.
D.

查看答案和解析>>

科目: 来源:四川省中考真题 题型:填空题

如图,已知DE由线段AB平移而得,AB=DC=4cm,EC=5cm 则△DCE的周长是(    )cm。

查看答案和解析>>

科目: 来源:湖北省期末题 题型:填空题

已知△ABC的各顶点坐标分别为A(-1,2),B(1,-1), C(2,1),将它进行平移,平移后A移到点(-3,a),B移到点(b,3),则C移到的点的坐标为(    )。

查看答案和解析>>

科目: 来源:内蒙古自治区期末题 题型:单选题

中国2010年上海世博会吉祥物的名字叫“海宝 ”,意即“四海之宝”.通过平移,可将图中的吉祥物“海宝”平移到图

[     ]

A.
B.
C.
D.

查看答案和解析>>

同步练习册答案