精英家教网 > 初中物理 > 题目详情
如图将灯L1“6V  3W”和L2“6V  6W”串联(灯泡电阻不变),现要使其中一盏灯长时间正常发光,则电源电压是______V,电路的总功率是______W.
【答案】分析:利用计算出亮灯炮的额定电流,因为是串联电路,所以电路中的电流为额定电流较小的电流,然后利用分别计算出两个灯泡的电阻,再利用U=IR和P=UI即可求出电源的电压和电路的总功率.
解答:解;∵
∴电路中的电流为0.5A;
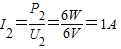
又∵
∴U=I1R=0.5A×(12Ω+6Ω)=9V,
P=UI1=9V×0.5A=4.5W;
故答案为:9V,4.5W
点评:知道串联电路中的电流等于额定电流较小的电流,会灵活运用欧姆定律和电功率的计算公式进行计算.
练习册系列答案
相关习题

科目:初中物理 来源: 题型:

精英家教网如图将灯L1“6V  3W”和L2“6V  6W”串联(灯泡电阻不变),现要使其中一盏灯长时间正常发光,则电源电压是
 
V,电路的总功率是
 
W.

查看答案和解析>>

科目:初中物理 来源: 题型:

如图将灯L1“6V  3W”和L2“6V  6W”串联(灯泡电阻不变),现要使其中一盏灯长时间正常发光,则电源电压是
9
9
V,电路的总功率是
4.5
4.5
W.

查看答案和解析>>

科目:初中物理 来源: 题型:

如图将灯L1“6V  3W”和L2“6V  6W”串联(灯泡电阻不变),现要使其中一盏灯长时间正常发光,另一灯发光较暗.则电路中的电流是
0.5
0.5
A,电源电压是
9
9
V,电路的总功率是
4.5
4.5
W.

查看答案和解析>>

科目:初中物理 来源: 题型:

如图将灯L1“6V  3W”和L2“12V  12W”串联(灯泡电阻不变),现要使其中一盏灯长时间正常发光,则电源电压是
12
12
V,电路的总功率是
6
6
W.L1 比L2
一样亮
一样亮

查看答案和解析>>

科目:初中物理 来源:2010-2011学年重庆市渝中区巴蜀中学九年级(上)期末物理试卷(解析版) 题型:填空题

如图将灯L1“6V  3W”和L2“6V  6W”串联(灯泡电阻不变),现要使其中一盏灯长时间正常发光,另一灯发光较暗.则电路中的电流是    A,电源电压是    V,电路的总功率是    W.

查看答案和解析>>

同步练习册答案