相关习题
 0  78458  78466  78472  78476  78482  78484  78488  78494  78496  78502  78508  78512  78514  78518  78524  78526  78532  78536  78538  78542  78544  78548  78550  78552  78553  78554  78556  78557  78558  78560  78562  78566  78568  78572  78574  78578  78584  78586  78592  78596  78598  78602  78608  78614  78616  78622  78626  78628  78634  78638  78644  78652  235360 

科目: 来源:2012-2013学年贵州省遵义市凤冈县九年级(上)第二次月考物理试卷(解析版) 题型:填空题

语言复读机工作时需要6V的电源,这可以由    节干电池    联提供.

查看答案和解析>>

科目: 来源:2012-2013学年贵州省遵义市凤冈县九年级(上)第二次月考物理试卷(解析版) 题型:填空题

焦炭的热值是3×107J/kg,完全燃烧200g的焦炭则放出的热量为    J.甲、乙两个物体的质量之比是2:1,吸收相同的热量后,升高的温度之比是1:2,则甲、乙两物体比热容之比是   

查看答案和解析>>

科目: 来源:2012-2013学年贵州省遵义市凤冈县九年级(上)第二次月考物理试卷(解析版) 题型:填空题

小强用电压表串联电路中灯泡两端的电压,如图甲所示.电压表测的是灯    电压(填“L1”或“L2”).此时,电压表示数如图乙所示,电压表读数是    V.

查看答案和解析>>

科目: 来源:2012-2013学年贵州省遵义市凤冈县九年级(上)第二次月考物理试卷(解析版) 题型:解答题

小明在实验室连接电路,他想用一个开关控制两个灯泡,使两灯同时亮同时灭.你能帮他设计电路吗?请把你设计的电路图画在方框内.

查看答案和解析>>

科目: 来源:2012-2013学年贵州省遵义市凤冈县九年级(上)第二次月考物理试卷(解析版) 题型:解答题

在如图电路中,标出电压表、电流表及它的正、负接线柱.

查看答案和解析>>

科目: 来源:2012-2013学年贵州省遵义市凤冈县九年级(上)第二次月考物理试卷(解析版) 题型:解答题

小红做实验时,他按如图所示的电路图连接好电路,闭合开关后,发现两灯均不亮,故障原因是两只灯泡中只有一只是坏的.现给你一根导线,一个电压表,一只完好的灯泡,一个电流表.要求只能选择一项器材,检测出坏了的灯泡.
例:选择器材:电流表.
检测过程:把电流表并联在灯L1两端,闭合开关,若电流表有示数,则灯L1是坏的.
选择器材:______.
检测过程:______.

查看答案和解析>>

科目: 来源:2012-2013学年贵州省遵义市凤冈县九年级(上)第二次月考物理试卷(解析版) 题型:解答题

两个学习小组用图甲所示的实验装置分别观察松香(非晶体)和海波(晶体)的熔化过程,且每隔一定时间记录一次温度,直到两种物质全部熔化.

(1)由图甲可知此时的温度计示数是______℃.
(2)各组同学根据记录数据绘制了这两种物质的熔化图象,如图乙、丙两图所示,其中______图能反映海波的熔化特点,______能反映松香的熔化特点.
(3)根据实验现象可知,晶体熔化时______不变.

查看答案和解析>>

科目: 来源:2012-2013学年贵州省遵义市凤冈县九年级(上)第二次月考物理试卷(解析版) 题型:解答题

小余和小乐按照课本要求探究并联电路中电流的关系,他们设计的电路如图1所示.
(1)在连接电路的过程中,开关应该______.
(2)在使用电流表测电流的实验中,小余试触时电流表的指针向着没有刻度的一侧偏转,如图2所示,根据你的分析,你认为原因可能是______.
(3)他们改正错误后把电流表分别接入到电路中的A、B、C处,测出它们的电流,见表.
(4)通过对下面数据的分析,可以得出的结论是:______;
实验次数A处的电流IA/AB处的电流IB/AC处的电流IC/A
10.100.120.22
20.220.240.46
30.260.300.56
(5)在实验中可以采用改变电源电压的方法改变A、B、C处电流的大小从而进行多次实验.多次测量的目的是:______.

查看答案和解析>>

科目: 来源:2012-2013学年贵州省遵义市凤冈县九年级(上)第二次月考物理试卷(解析版) 题型:解答题

小强星期天回家帮妈妈家务,他用煤炭燃烧给水加热,用去了2kg的煤炭,煤炭的热值q=3.4×107J/kg.水吸收了2.1×106J的热量后,温度由20℃升高到70℃.水的比热容C=4.2×103J/.
试计算:
(1)煤炭完全燃烧放出的热量.
(2)水的质量.

查看答案和解析>>

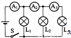
科目: 来源:2012-2013学年贵州省遵义市凤冈县九年级(上)第二次月考物理试卷(解析版) 题型:解答题

如图所示,当开关S闭合后,电流表A1、A2、A3的示数分别为1.2A、1A、0.6A,则通过L1、L2、L3的电流分别是多大?

查看答案和解析>>

同步练习册答案