读下面材料,回答问题。
喜马拉雅地区总共有1.5万条冰川,除两极地区的冰冠外,这些冰川是世界上冰体最大的组成部分。许多资料表明,近年来,喜马拉雅地区冰川后退的速度在逐渐加快,其中长近5千米的巴尔纳克冰川,自1990年以来,已后退了近800米。国际冰川研究会指出,如果按目前的融化速度继续下去,这些冰川在2035年之前消失的可能性非常大。
(1)你认为这里冰川快速融化的原因是什么?
(2)冰川快速融化,对本地区造成的后果可能是滑坡、泥石流、洪涝等自然灾害增多,进而导致________上升,危及沿海低地。
(3)为此应采取哪些措施防止此种现象的发生?
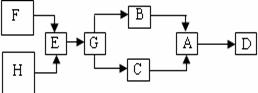
(4)将下列选项按照因果关系用字母代号把下图填写完整:
![]()
A.全球海平面上升 B.海洋表层出现的热膨胀
C.极地冰雪融化 D.沿海低地、良田、城市被淹
E.大气中温室气体浓度升高 F.大量燃烧矿物化石燃料
G.全球平均气温上升 H.大量森林植被遭受破坏与砍伐
科目:高中地理 来源: 题型:
读下面材料,回答问题。
材料一 《中国老龄事业发展十一五规划》中提到,从现在开始到2030年的25年,是我国应对人口老龄化的战略准备期。25年准备期这个概念,是相对2030年到2050年人口老龄化最严峻时期而言的。到那个时候,人口老龄化程度将超过30%,解决老龄化问题的难度将更大。
材料二 2005年,中国出生婴儿平均男女比例118∶100。目前我国男女性别比已经达到了116.9,这也意味着未来的20年内,平均每年处于结婚年龄的男性要比女性多出120万人左右。
![]()
(1)以上材料反映出我国人口发展存在的两个人口问题是 ____________________
和_________________________________ 。
(2)我国提前进入老龄化社会,而且老龄化速度较任何国家都快,这是我国实行 政策的必然结果,如何应对老龄化问题,试据我国实际情况提出合理化建议。
查看答案和解析>>
科目:高中地理 来源: 题型:阅读理解
读下面材料,回答问题:
材料一:我国某一地理兴趣小组,在某年6月22日,测得该地正午太阳高度达到一年中的最大值,为81.5°。该地该日昼长为14小时20分,日出时间为北京时间5时50分。
材料二:据该兴趣小组连续几年的监测,发现该地的酸雨比较严重。
材料三:该兴趣小组在对该地城市农产品价格和农事活动调查中得出如下数据:
| 项目/作物 | 花卉 | 蔬菜 | 稻米 | 甘蔗 |
| 市场价格(元/kg) | 5.00 | 3.00 | 2.00 | 1.00 |
| 生产成本(元/kg) | 2.50 | 2.00 | 0.80 | 0.40 |
| 运费率(元/kg.km) | o.50 | 0.30 | 0.01 | 0.01 |
| 单位面积产量(kg) | 20 | 15 | 4 | 10 |
材料四:该小组草绘了本地区的等高线图
(1)该地的区时比北京时间______(早或晚)______小时。(4分)
(2)该地可能是我国的( )(2分)
A.东北平原 B。渭河平原 C。太湖平原 D。成都平原
(3)根据所给资料信息,如果在距离城市1Km处的土地上,从经济效益考虑,最适宜种植的作物是( )(2分)
A.水稻、甘蔗 B。花卉、蔬菜 C。花卉、甘蔗 D。蔬菜、甘蔗
(4)近年来太阳能热水器的使用在我国方兴未艾,该地农民也安装了热水器,但却发现热水器的效果很差。许多农民纷纷找到商家,要求退货,可商家和厂家证明,产品质量没有问题。那么,原因是什么?请从地理学角度加以解释。(6分)
(5)该地农民能大量种植甘蔗,但调查小组发现在同一纬度的其他地区,均没有甘蔗种植,请从地形、气候方面分析该地发展甘蔗种植的区位优势。(6分)
(6)分析材料二中问题产生的原因及可能的解决方法。(6分)
查看答案和解析>>
科目:高中地理 来源:2010年河北正定中学高二下学期期末考试地理卷 题型:综合题
(13分)读下面材料,回答问题。
材料一 1934年中国学者张宝坤结合物候现象与农业生产,提出了一种季节划分方法。他以候(每五天为一候)平均气温稳定降低到10℃以下作为冬季开始,稳定上升到22℃以上作为夏季开始。候平均气温从10℃以下稳定上升到10℃以上时,作为春季开始。从22℃以上稳定下降到22℃以下时,作为秋季开始。
材料二 2009年9月23日中国大陆季节分布及一些城市进入秋季图。![]()
(1)简述2009年9月23日中国大陆季节分布的情况。(6分)
(2)石家庄进入秋季的时间最可能是( )(1分)判断理由是什么?(6分)
| A.8月16日 | B.8月20日 | C.9月6日 | D.9月23日 |
查看答案和解析>>
科目:高中地理 来源:2011年河南省许昌市高二下学期四校期中联考地理卷 题型:综合题
(10分)读下面材料,回答问题。(10分)

云南位于我国的西南边疆,是我国少数民族最多的省份,成为民俗民风的大观园。境内地势高差悬殊,气候类型多样,山川河谷相间,形成许多著名的旅游景观,如路南石林、西双版纳的热带风光、湖面广阔的滇池等,近年还在云南省昆明市召开了世博会,建起了世博园。云南省旅游业发展势头迅猛,接待游客数量、旅游业总收入年均增长30%以上,旅游产业综合发展水平已雄居中西部省区之首,并逼近沿海发达地区水平,成为名副其实的旅游大省。
(1)该省有两处世界遗产分别是 和 。滇池属于自然中的 景观,其观赏宜 。
(2) 生活在C处的少数民族的传统节日主要是 。
(3)图中D处可以看到因流水溶蚀作用而形成的 地貌,而图中E处为_______板块和_______板块碰撞地区,内力作用强烈,旅游者在这里可以观赏到火山地热景观。
(4)昆明市建“世博园”的区位条件有哪些?(2分)
查看答案和解析>>
科目:高中地理 来源:2010年辽宁省高二上学期月考地理卷 题型:综合题
读下面材料,回答问题。(36分)
世界上最大的水利工程“南水北调”工程已经正式开工,工程近期供水目标是以解决城市缺水为主,兼顾生态和农业用水。据统计,我国水资源有80%以上分布在长江流域及其以南地区,该地区的人口占全国的53.5%,耕地占35.2%。而在长江流域以北广大地区,人口占全国的44.4%,耕地占59.2%,水资源仅占14.7%。
据大河报报道:自古以来,长江和黄河各自奔流不息,互不相犯。昨日,随着南水北调中线穿黄工程上游线隧洞的贯通,在黄河下30多米,一条长达4.25公里的隧洞打通,这意味着,2014年,长江水可以通过隧洞从黄河下面流过,给京津等缺水地区供应长江水。穿黄工程被誉为“高、精、尖、难、险”工程的化身,被称为“咽喉工程”,目前在国内还没有类似工程的施工经验和技术可资借鉴。在挖掘竖井的施工过程中,施工人员攻克了76.6米超深地下连续墙,解决了55米超深地基加固等技术难题,无论是大小还是深度,都属国内第一。
(1)南水北凋工程实现了长江、 、黄河、海河四大流域的联系,有利于水资源的合理配置和利用效率的提高。(2分)
(2)为了使长江水过黄河,设计者考虑了地下隧洞和架空渡槽两种方案,最终选择了地下隧洞。请比较二者的优缺点。(16分)
|
方案 |
是否占空间 |
受自然因素影响程度 |
是否影响航运 |
成本高低 |
|
地下涵洞 |
|
|
|
|
|
架空渡槽 |
|
|
|
|
(3)南水北调的目的地之一是华北,华北的气候类型为 ,容易出现 旱,土地常会因为不合理灌溉而导致 ,请从社会经济方面分析华北地区缺水的原因 。(18分)
查看答案和解析>>
湖北省互联网违法和不良信息举报平台 | 网上有害信息举报专区 | 电信诈骗举报专区 | 涉历史虚无主义有害信息举报专区 | 涉企侵权举报专区
违法和不良信息举报电话:027-86699610 举报邮箱:58377363@163.com