【答案】
分析:要使不等式

对于任意正整数n恒成立,即要

<2,

为两项-a-

和a+

求出

的最大值要小于2,列出不等式求出a的范围即可.
解答:解:由

得:

<2,
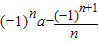
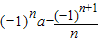
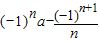
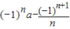
而f(n)=

,
当n取奇数时,f(n)=-a-

;当n取偶数时,f(n)=a+

.
所以f(n)只有两个值,当-a-

<a+

时,f(n)
max=a+

,即a+

<2,得到a<

;
当-a-

≥a+

时,即-a-

≤2,得a≥-2,
所以a的取值范围为-2≤a<

.
故答案为:-2≤a<
点评:考查学生理解函数恒成立时取条件的能力,利用分类讨论的数学思想解决数学问题的能力.