精英家教网 > 高中数学 > 题目详情
已知直线y=ax+1与双曲线3x2-y2=1;
(1)当a为何值时,直线与双曲线有一个交点;
(2)直线与双曲线交于P、Q两点且以PQ为直径的圆过坐标原点,求a值.
【答案】分析:(1)把直线与双曲线方程联立消去y,利用二次项非0,且判别式等于0或二次项为0可求得a.
(2)把直线l的方程与双曲线的方程联立消去y,根据判别式大于0求得a的范围,根据OP⊥OQ,推断出y1y2=-x1x2.根据韦达定理表示出x1x2.进而根据直线方程表示出y1y2,代入y1y2=-x1x2.求得a.
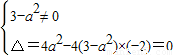
解答:解:(1)联立方程组
∵直线l与曲线C有两个交点P、Q,
或a2-3=0
或a=
∴a=
(2)设点P、Q的坐标为(x1,y1)、(x2,y2).
由(1)可知,
∵以线段PQ为直径的圆经过原点,
,即x1x2+y1y2=0.
又y1=ax1+1,y2=ax2+1,
∴x1x2+(ax1+1)(ax2+1)=0,
,解得a=±1
∴a=±1时,以线段AB为直径的圆经过坐标原点.
点评:本题主要考查了双曲线的简单性质,直线与双曲线的位置关系.考查了学生综合分析问题和推理的能力,基本的运算能力.
练习册系列答案
相关习题

科目:高中数学 来源: 题型:

已知直线y=ax+1与双曲线3x2-y2=1;
(1)当a为何值时,直线与双曲线有一个交点;
(2)直线与双曲线交于P、Q两点且以PQ为直径的圆过坐标原点,求a值.

查看答案和解析>>

科目:高中数学 来源: 题型:

已知直线y=ax+1与双曲线3x2-y2=1交于A、B两点,
(1)若以AB线段为直径的圆过坐标原点,求实数a的值.
(2)是否存在这样的实数a,使A、B两点关于直线y=
12
x
对称?说明理由.

查看答案和解析>>

科目:高中数学 来源: 题型:

已知直线y=ax+1与双曲线3x2-y2=1相交于A、B两点,若以AB为直径的圆经过坐标原点,求a的值.

查看答案和解析>>

科目:高中数学 来源: 题型:

已知直线y=ax+1与双曲线3x2-y2=1交于A、B两点,(1)若以AB线段为直径的圆过坐标原点,求实数a的值。(2)是否存在这样的实数a,使A、B两点关于直线对称?说明理由。

查看答案和解析>>

科目:高中数学 来源:2013届甘肃省高二第一学期期末考试数学试卷 题型:解答题

已知直线y=ax+1与双曲线3x2-y2=1交于A、B两点。

(1)若以AB线段为直径的圆过坐标原点,求实数a的值。

(2)是否存在这样的实数a,使A、B两点关于直线对称?说明理由。

 

查看答案和解析>>

同步练习册答案