精英家教网 > 高中数学 > 题目详情
设x,y满足约束条件,若目标函数z=ax+by(a>0,b>0)的值是最大值为12,则的最小值为   
【答案】分析:先根据条件画出可行域,设z=ax+by,再利用几何意义求最值,将最大值转化为y轴上的截距,只需求出直线z=ax+by,过可行域内的点(4,6)时取得最大值,从而得到一个关于a,b的等式,最后利用基本不等式求最小值即可.
解答:解:不等式表示的平面区域如图所示阴影部分,
当直线ax+by=z(a>0,b>0)过直线x-y+2=0与直线3x-y-6=0的交点(4,6)时,
目标函数z=ax+by(a>0,b>0)取得最大12,
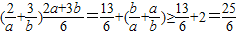
即4a+6b=12,即2a+3b=6,
=
故答案为:
点评:本题主要考查了基本不等式在最值问题中的应用、简单的线性规划,以及利用几何意义求最值,属于基础题.
练习册系列答案
相关习题

科目:高中数学 来源: 题型:

设x,y满足约束条件
x+y≤1
y≤x
y≥-2
,则z=3x+y的最大值为
 

查看答案和解析>>

科目:高中数学 来源: 题型:

设x,y满足约束条件
3x-y-6≤0
x-y+2≥0
x≥0,y≥0
,若目标函数z=ax+by(a>0,b>0)的最大值为12,则
3
a
+
2
b
的最小值为(  )

查看答案和解析>>

科目:高中数学 来源: 题型:

(2011•奉贤区二模)(文)设x,y满足约束条件
x≥0
y≥0
x
3a
+
y
4a
≤1
z=
y+1
x+1
的最小值为
1
4
,则a的值
1
1

查看答案和解析>>

科目:高中数学 来源: 题型:

设x,y满足约束条件
x-y+2≥0
4x-y-4≤0
x≥0
y≥0
,若目标函数z=ax+by(a>0,b>0)的最大值为6,则w=2ab的最大值为(  )

查看答案和解析>>

科目:高中数学 来源: 题型:

设x,y满足约束条件
x+y≥0
x-y+3≥0
x≤3
,则z=2x-y的最大值为
 

查看答案和解析>>

同步练习册答案