精英家教网 > 高中数学 > 题目详情
已知双曲线的中心在原点,对称轴为坐标轴,焦点在x轴上,两准线间的距离为,并且与直线相交所得线段中点的横坐标为,求这个双曲线方程.
【答案】分析:设求双曲线方程为:(a>b>0),直线 y=(x-4)与双曲线相交于A(x1,y1),B(x2,y2),将二者联立,结合线段中点的横坐标为,可求得线段中点的纵坐标为-,再利用韦达定理可求得b2,c2与a2之间的关系,再由两准线间的距离为,可求得这个双曲线方程.
解答:解:由题意可设所求双曲线方程为:
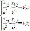
设直线 y=(x-4)与双曲线相交于A(x1,y1),B(x2,y2),
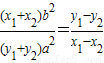
(1)-(2)得:

又由线段AB中点的横坐标为可得,其纵坐标为

又∵


又∵双曲线两准线间的距离为


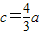
∴a=3,a2=9,c2=a2=16.
∴b2=c2-a2=7.
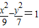
∴所求双曲线方程为:
点评:本题考查直线与圆锥曲线的综合问题,着重考查平方差法与韦达定理的使用,突出考查化归思想与方程思想,培养学生综合分析问题与解决问题的能力,属于难题.
练习册系列答案
相关习题

科目:高中数学 来源: 题型:

已知双曲线的中心在原点,焦点F1,F2在坐标轴上,离心率为
2
,且过点(4,-
10
)
,则双曲线的标准方程是
x2-y2=6
x2-y2=6

查看答案和解析>>

科目:高中数学 来源: 题型:

已知双曲线的中心在原点,焦点为F1(5,0),F2(-5,0),且过点(3,0),
(1)求双曲线的标准方程.
(2)求双曲线的离心率及准线方程.

查看答案和解析>>

科目:高中数学 来源: 题型:

已知双曲线的中心在原点,焦点F1,F2在坐标轴上,一条渐近线方程为y=x,且过点(4,-
10
)

(1)求双曲线方程;
(2)设A点坐标为(0,2),求双曲线上距点A最近的点P的坐标及相应的距离|PA|.

查看答案和解析>>

科目:高中数学 来源: 题型:

已知双曲线的中心在原点,焦点F1,F2在坐标轴上,一条渐近线方程为y=x,且过点(4,-
10
)
,A点坐标为(0,2),则双曲线上距点A距离最短的点的坐标是
7
,1)
7
,1)

查看答案和解析>>

科目:高中数学 来源: 题型:

(2012•丰台区一模)已知双曲线的中心在原点,焦点在x轴上,一条渐近线方程为y=
3
4
x
,则该双曲线的离心率是
5
4
5
4

查看答案和解析>>

同步练习册答案