精英家教网 > 高中数学 > 题目详情
已知椭圆C的中心在坐标原点,左顶点A(-2,0),离心率e=,F为右焦点,过焦点F的直线交椭圆C于P、Q两点(不同于点A).
(Ⅰ)求椭圆C的方程;
(Ⅱ)当时,求直线PQ的方程.
【答案】分析:(I)设出椭圆的标准方程根据题意可a,利用离心率求得c,则b可求得,椭圆的方程可得.
(II)设出直线PQ的方程为x=my+1,与椭圆方程联立,设出P,Q的坐标,进而根据韦达定理表示出y1+y2和y1y2,则利用弦长公式可表示出|PQ|求得m,直线的方程可得.
解答:解:(Ⅰ)设椭圆方程为(a>b>0),
∵左顶点A(-2,0),离心率e=,∴a=2,e==
∴c=1,b2=a2-c2=3
∴椭圆方程为
(Ⅱ)椭圆右焦点F(1,0).
设直线PQ方程为x=my+1(m∈R),代入椭圆方程,消去x得(3m2+4)y2+6my-9=0.①
显然,方程①的△>0.
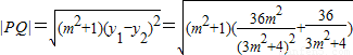
设P(x1,y1),Q(x2,y2),则有
=


解得m=±1.
∴直线PQ方程为x=±y+1,即x+y-1=0或x-y-1=0.
点评:本题主要考查了直线与圆锥曲线的综合问题,考查了学生逻辑思维能力和统筹运算的能力,属于中档题.
练习册系列答案
相关习题

科目:高中数学 来源: 题型:

已知椭圆C的中心在坐标原点,椭圆C任意一点P到两个焦点F1(-
3
,0)
F2(
3
,0)
的距离之和为4.
(1)求椭圆C的方程;
(2)设过(0,-2)的直线l与椭圆C交于A、B两点,且
OA
OB
=0
(O为坐标原点),求直线l的方程.

查看答案和解析>>

科目:高中数学 来源: 题型:

已知椭圆C的中心在坐标原点,焦点在x轴上,左、右焦点分别为F1,F2,且|F1F2|=2,点P(1,
32
)在椭圆C上.
(I)求椭圆C的方程;
(II)如图,动直线l:y=kx+m与椭圆C有且仅有一个公共点,点M,N是直线l上的两点,且F1M⊥l,F2M⊥l,求四边形F1MNF2面积S的最大值.

查看答案和解析>>

科目:高中数学 来源: 题型:

已知椭圆C的中心在坐标原点,焦点在x轴上且过点P(
3
1
2
)
,离心率是
3
2

(1)求椭圆C的标准方程;
(2)直线l过点E(-1,0)且与椭圆C交于A,B两点,若|EA|=2|EB|,求直线l的方程.

查看答案和解析>>

科目:高中数学 来源: 题型:

(2013•和平区一模)已知椭圆C的中心在坐标原点,焦点在x轴上,离心率为
1
2
,它的一个顶点恰好是抛物线y=
3
12
x2的焦点.
(I)求椭圆C的标准方程;
(II)若A、B是椭圆C上关x轴对称的任意两点,设P(-4,0),连接PA交椭圆C于另一点E,求证:直线BE与x轴相交于定点M;
(III)设O为坐标原点,在(II)的条件下,过点M的直线交椭圆C于S、T两点,求
OS
OT
的取值范围.

查看答案和解析>>

科目:高中数学 来源: 题型:

已知椭圆C的中心在坐标原点,它的一条准线为x=-
5
2
,离心率为
2
5
5

(1)求椭圆C的方程;
(2)过椭圆C的右焦点F作直线l交椭圆于A、B两点,交y轴于M点,若
MA
=λ1
AF
, 
MB
=λ2
BF
,求λ12的值.

查看答案和解析>>

同步练习册答案