精英家教网 > 高中数学 > 题目详情

已知圆锥的全面积为S,当圆锥的底面半径和高各为何值时,圆锥体积最大?并求出它的最大值.

答案:略
解析:

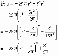
解:设圆锥的母线长为l,高为h

∴当时,圆锥体积最大,此时最大体积为


练习册系列答案
相关习题

科目:高中数学 来源:高三数学教学与测试 题型:044

已知球的半径为R,内切于顶点为P的圆锥(轴截面如图).设∠=θ.

  

(1)试用R,θ表示圆锥底面半径r,母线l和全面积S;

(2)当θ为何值时,圆锥全面积取最小值?最小值是多少?

查看答案和解析>>

科目:高中数学 来源:数学教研室 题型:044

已知圆锥的全面积为S,当圆锥的底面半径和高各为何值时,圆锥体积最大?并求出它的最大值.

查看答案和解析>>

同步练习册答案