精英家教网 > 高中数学 > 题目详情
设函数f(x)是定义在[-1,0)∪(0,1]上的奇函数,当x∈[-1,0)时,(x∈R).
(1)当x∈(0,1]时,求f(x)的解析式;
(2)若a>-1,试判断f(x)在(0,1]上的单调性,并证明你的结论
【答案】分析:(1)利用奇函数定义f(-x)=-f(x)求f(x)的解析式;
(2)利用导数方法判断f(x)在(0,1]上的单调性.
解答:(1)解:设x∈(0,1],则
∵f(x)是奇函数,即f(-x)=-f(x)

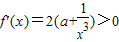
(2)答:f(x)在(0,1]上单调递增.
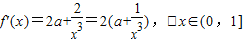
证明:∵

又∵a>-1


∴f(x)在(0,1]上单调递增.
点评:本题考查奇函数定义的灵活运用及导数法判断函数的单调性.
练习册系列答案
相关习题

科目:高中数学 来源: 题型:

设函数f(x)是定义在(-∞,+∞)上的增函数,如果不等式f(1-ax-x2)<f(2-a)对于任意x∈[0,1]恒成立,求实数a的取值范围.

查看答案和解析>>

科目:高中数学 来源: 题型:

设函数f(x)是定义在(0,+∞)上的减函数,并且满足f(xy)=f(x)+f(y),f(
1
3
)=1

(1)求f(
1
9
)

(2)若f(x)+f(2-x)<2,求x的取值范围.

查看答案和解析>>

科目:高中数学 来源: 题型:

设函数f(x)是定义在[-1,0)∪(0,1]上的偶函数,当x∈[-1,0)时,f(x)=x3-ax(a∈R).
(1)当x∈(0,1]时,求f(x)的解析式;
(2)若a>3,试判断f(x)在(0,1]上的单调性,并证明你的结论;
(3)是否存在a,使得当x∈(0,1]时,f(x)有最大值1?

查看答案和解析>>

科目:高中数学 来源: 题型:

设函数f(x)是定义在[a,b]上的奇函数,则f(a+b)=
0
0

查看答案和解析>>

科目:高中数学 来源: 题型:

设函数f(x)是定义在R上的偶函数.若当x≥0时,f(x)=
|1-
1
x
0
x>0;,
x=0.

(1)求f(x)在(-∞,0)上的解析式.
(2)请你作出函数f(x)的大致图象.
(3)当0<a<b时,若f(a)=f(b),求ab的取值范围.
(4)若关于x的方程f2(x)+bf(x)+c=0有7个不同实数解,求b,c满足的条件.

查看答案和解析>>

同步练习册答案