定义在R上的函数f(x)满足:对任意实数m,n,总有f(m+n)=f(m)•f(n),且当x>0时,0<f(x)<1.
(1)试求f(0)的值;
(2)判断f(x)的单调性并证明你的结论;
(3)若不等式f[(t-2)(|x-4|-|x+4|)]>f(t2-4t+13)对t∈[4,6]恒成立,求实数x的取值范围.
【答案】
分析:(1)令m=1,n=0,可求出f(0),(2)根据单调性的定义证明函数的单调性,(3)根据(2)的结论,去掉对应法则f,把f[(t-2)(|x-4|-|x+4|)]>f(t
2-4t+13)转化不等式为(t-2)(|x-4|-|x+4|)<t
2-4t+13,达到求解目的.
解答:解:(1)令m=1,n=0,则f(1)=f(1)f(0),又0<f(1)<1,故f(0)=1
(2)当x<0时,-x>0,则

即对任意x∈R都有f(x)>0
对于任意x
1>x
2,

即f(x)在R上为减函数.
(3)∵y=f(x)为R上的减函数
∴f[(t-2)(|x-4|-|x+4|)]>f(t
2-4t+13)
?(t-2)(|x-4|-|x+4|)<t
2-4t+13?

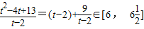
由题意知,

而

∴须|x-4|-|x+4|<6,解不等式得x>-3
所以原不等式的解集为:{x:x>-3}.
点评:抽象函数求某点的函数值,通常采取赋值法解决;对于抽象函数的单调性,奇偶性的判定,一般采取定义解决,对于不等式恒成立的问题,分离参数是首选方法,此题难度较大,综合性强,属难题.