精英家教网 > 高中数学 > 题目详情
已知函数f(x)=Asin(ωx+φ)()的部分图象如图所示.
(1)求f(x)的最小正周期;
(2)求f(x)的解析式;
(3)求f(x)的最大值,并求出取最大值时x的值.

【答案】分析:(1)直接利用函数的图象,求f(x)的最小正周期;
(2)通过函数的图象求出A,利用周期求出ω,利用函数的图象经过的特殊点求出φ,即可求出f(x)的解析式;
(3)利用图象以及三角函数的值域,直接求f(x)的最大值,并求出取最大值时x的值.
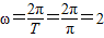
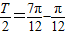
解答:解:(1)设f(x)的最小正周期为T,由图象可知,所以T=π…(2分)
(2)由图象可知A=2…(4分)
,所以f(x)=2sin(2x+φ)…(6分)
,且…(8分)∴f(x)的解析式为…(9分)
(3)由(2)知f(x)的最大值为2…(10分)
…(12分)
解得…(13分)
所以当时,f(x)有最大值2 …(14分)
点评:本题考查三角函数的解析式的求法,周期以及函数的值域的应用,考查计算能力与视图能力.
练习册系列答案
相关习题

科目:高中数学 来源: 题型:

已知函数f(x)=
a-x2
x
+lnx  (a∈R , x∈[
1
2
 , 2])

(1)当a∈[-2,
1
4
)
时,求f(x)的最大值;
(2)设g(x)=[f(x)-lnx]•x2,k是g(x)图象上不同两点的连线的斜率,否存在实数a,使得k≤1恒成立?若存在,求a的取值范围;若不存在,请说明理由.

查看答案和解析>>

科目:高中数学 来源: 题型:

(2009•海淀区二模)已知函数f(x)=a-2x的图象过原点,则不等式f(x)>
34
的解集为
(-∞,-2)
(-∞,-2)

查看答案和解析>>

科目:高中数学 来源: 题型:

已知函数f(x)=a|x|的图象经过点(1,3),解不等式f(
2x
)>3

查看答案和解析>>

科目:高中数学 来源: 题型:

已知函数f(x)=a•2x+b•3x,其中常数a,b满足a•b≠0
(1)若a•b>0,判断函数f(x)的单调性;
(2)若a=-3b,求f(x+1)>f(x)时的x的取值范围.

查看答案和解析>>

科目:高中数学 来源: 题型:

已知函数f(x)=a-2|x|+1(a≠0),定义函数F(x)=
f(x)   ,  x>0
-f(x) ,    x<0
 给出下列命题:①F(x)=|f(x)|; ②函数F(x)是奇函数;③当a<0时,若mn<0,m+n>0,总有F(m)+F(n)<0成立,其中所有正确命题的序号是
 

查看答案和解析>>

同步练习册答案