精英家教网 > 高中数学 > 题目详情
在递增数列{an}中,a1=1,
(1)求an,并证明:
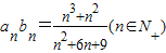
(2)若,求证:当n≥2时,
【答案】分析:(1)利用条件可得,从而可得{}是以1为首项,1为公差的等差数列,即可求an,利用放缩法,裂项求和,可以证明结论;
(2)确定数列的通项,利用数学归纳法,可以证明不等式成立.
解答:(1)解:∵递增数列{an}中,a1=1,



∵a1=1,
∴{}是以1为首项,1为公差的等差数列


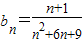
=(n≥2)

(2)证明:∵

∴n=2时,成立;
设n=k(k≥2)时,结论成立,即
则n=k+1时,
下证
即证
即证k2+8>0显然成立
综上可知,当n≥2时,
点评:本题考查数列递推式,考查数列的通项,考查不等式的证明,考查数学归纳法,考查学生分析解决问题的能力,属于中档题.
练习册系列答案
相关习题

科目:高中数学 来源: 题型:

在递增数列{an}中,a1=1,(an+an+1-1)2=4anan+1
(1)求an,并证明:
1
a1
+
1
a2
+…+
1
an
<2

(2)若anbn=
n3+n2
n2+6n+9
(n∈N+)
,求证:当n≥2时,b1+b2+…+bn
n
8

查看答案和解析>>

科目:高中数学 来源: 题型:

在递增数列{an}中,Sn表示数列{an}的前n项和,a1=1,an+1=an+c(c为常数,n∈N*),且a1,a2,S3成等比数列.
(Ⅰ)求c的值;
(Ⅱ)若bn+an=2•(-
13
)n
,n∈N*,求b2+b4+…+b2n

查看答案和解析>>

科目:高中数学 来源: 题型:

(2006•嘉定区二模)用Sm→n表示数列{an}从第m项到第n项(共n-m+1项)之和.
(1)在递增数列{an}中,an与an+1是关于x的方程x2-4nx+4n2-1=0(n为正整数)的两个根.求{an}的通项公式并证明{an}是等差数列;
(2)对(1)中的数列{an},判断数列S1→3,S4→6,S7→9,…,S3k-2→3k的类型;
(3)对(1)中的数列作进一步研究,提出与(2)类似的问题,你可以得到怎样的结论,证明你的结论.

查看答案和解析>>

科目:高中数学 来源: 题型:

(2006•嘉定区二模)用Sm→n表示数列{an}从第m项到第n项(共n-m+1项)之和.
(1)在递增数列{an}中,an与an+1是关于x的方程x2-4nx+4n2-1=0(n为正整数)的两个根.求{an}的通项公式并证明{an}是等差数列;
(2)对(1)中的数列{an},判断数列S1→3,S4→6,S7→9,…,S3k-2→3k的类型;
(3)对一般的首项为a1,公差为d的等差数列,提出与(2)类似的问题,你可以得到怎样的结论,证明你的结论.

查看答案和解析>>

科目:高中数学 来源: 题型:

(2007•惠州模拟)用Sm→n表示数列{an}从第m项到第n项(共n-m+1项)之和.
(1)在递增数列{an}中,an与an+1是关于x的方程x2-4nx+4n2-1=0(n为正整数)的两个根.求{an}的通项公式并证明{an}是等差数列;
(2)对(1)中的数列{an},判断数列S1→3,S4→6,S7→9,…,S3k-2→3k的类型,并证明你的判断.

查看答案和解析>>

同步练习册答案