精英家教网 > 高中数学 > 题目详情
已知函数f(x)=Asin(ωx+φ),x∈R(其中)的图象与x轴的交点中,相邻两个交点之间的距离为,且图象上一个最低点为
(1)求f(x)的解析式;
(2)当,求f(x)的最值;
(3)若函数g(x)与函数f(x)的图象关于直线对称,求函数g(x)的单调增区间.
【答案】分析:(1)由最低点的坐标求得A=2,根据周期求出ω,把点的坐标代入解析式求出∅,即得函数的解析式.
(2)先求出,故当时,f(x)取得最小值1;f(x)取得最大值
(3)由题意得 ,解2kπ-π≤2x≤2kπ可得x的范围,即得g(x)的单调增区间.
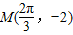
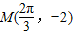
解答:解:(1)由最低点为 可得A=2.
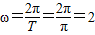
由x轴上相邻的两个交点之间的距离为=,即T=π,
由点在图象上的
,∴,又

(2)因为 ,∴,所以当时,即x=0时,f(x)取得最小值1;
(3)由题意得 ,解2kπ-π≤2x≤2kπ,
可得  ,所以g(x)的单调增区间是
点评:本题考查正弦函数的定义域和值域、单调性、周期性,求y=Asin(ωx+∅)的解析式,求函数g(x)的单调增区间,
是解题的难点.
练习册系列答案
相关习题

科目:高中数学 来源: 题型:

已知函数f(x)=
a-x2
x
+lnx  (a∈R , x∈[
1
2
 , 2])

(1)当a∈[-2,
1
4
)
时,求f(x)的最大值;
(2)设g(x)=[f(x)-lnx]•x2,k是g(x)图象上不同两点的连线的斜率,否存在实数a,使得k≤1恒成立?若存在,求a的取值范围;若不存在,请说明理由.

查看答案和解析>>

科目:高中数学 来源: 题型:

(2009•海淀区二模)已知函数f(x)=a-2x的图象过原点,则不等式f(x)>
34
的解集为
(-∞,-2)
(-∞,-2)

查看答案和解析>>

科目:高中数学 来源: 题型:

已知函数f(x)=a|x|的图象经过点(1,3),解不等式f(
2x
)>3

查看答案和解析>>

科目:高中数学 来源: 题型:

已知函数f(x)=a•2x+b•3x,其中常数a,b满足a•b≠0
(1)若a•b>0,判断函数f(x)的单调性;
(2)若a=-3b,求f(x+1)>f(x)时的x的取值范围.

查看答案和解析>>

科目:高中数学 来源: 题型:

已知函数f(x)=a-2|x|+1(a≠0),定义函数F(x)=
f(x)   ,  x>0
-f(x) ,    x<0
 给出下列命题:①F(x)=|f(x)|; ②函数F(x)是奇函数;③当a<0时,若mn<0,m+n>0,总有F(m)+F(n)<0成立,其中所有正确命题的序号是
 

查看答案和解析>>

同步练习册答案