精英家教网 > 高中数学 > 题目详情
已知命题P:函数f(x)=(2a-5)x是R上的减函数.命题Q:在x∈(1,2)时,不等式x2-ax+2<0恒成立.若命题“p∨q”是真命题,求实数a的取值范围.
【答案】分析:由题设知命题P:0<2a-5<1,命题q:在x∈(1,2)时恒成立,再由p∨q是真命题,能够求出a的取值范围.
解答:解:P:∵函数f(x)=(2a-5)x是R上的减函数,∴0<2a-5<1,…(3分)
解得.…(4分)
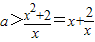
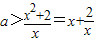
Q:由x2-ax+2<0,得ax>x2+2,
∵1<x<2,∴在x∈(1,2)时恒成立,…(6分)
又 …(8分),
∴a≥3…(10分)
p∨q是真命题,故p真或q真,
所以有或a≥3…(11分)
所以a的取值范围是.…(12分)
点评:本题考查命题的真假判断和应用,是基础题.解题时要认真审题,仔细解答.
练习册系列答案
相关习题

科目:高中数学 来源: 题型:

已知命题p:函数f(x)=(m-2)x为增函数,命题q:“?x0∈R,x02+2mx0+2-m=0”,若“p∨q”为真命题,“p∧q”为假命题,求实数m的取值范围.

查看答案和解析>>

科目:高中数学 来源: 题型:

已知命题p:函数f(x)=x2-2x+
12
a
的图象与x轴有交点,命题q:f(x)=(2a-1)x为R上的减函数,则p是q的(  )条件.

查看答案和解析>>

科目:高中数学 来源: 题型:

已知命题p:函数f(x)=
1-x3
,实数m满足不等式f(m)<2,命题q:实数m使方程2x+m=0(x∈R)有实根.若命题p、q中有且只有一个真命题,求实数m的范围.

查看答案和解析>>

科目:高中数学 来源: 题型:

已知命题p:函数f(x)=(a-1)x+a在(-∞,+∞)上是增函数;命题q:
32-a
>2
.若命题“p或q”为真,“p且q”为假,求实数a的取值范围.

查看答案和解析>>

科目:高中数学 来源: 题型:

已知命题p:函数f(x)=(11+a-2a2x是R上单调递增的指数函数.
命题q:关于x的不等式x2-(3a+2)x+a2≥0的解集为R.
若命题“p或q”为真命题,且命题“p且q”为假命题,求实数a的取值范围.

查看答案和解析>>

同步练习册答案