精英家教网 > 高中数学 > 题目详情
已知双曲线方程为,椭圆C以该双曲线的焦点为顶点,顶点为焦点.
(1)当,b=1时,求椭圆C的方程;
(2)在(1)的条件下,直线l:与y轴交于点P,与椭圆交与A,B两点,若O为坐标原点,△AOP与△BOP面积之比为2:1,求直线l的方程;
(3)若a=1,椭圆C与直线l':y=x+5有公共点,求该椭圆的长轴长的最小值.
【答案】分析:(1)根据椭圆C以该双曲线的焦点为顶点,顶点为焦点,设椭圆方程,将代入,可得椭圆C的方程;
(2)根据题意,设点A,B的坐标分别为(x1,y1),(x2,y2),联立椭圆和直线的方程,利用韦达定理及x1=-2x2,即可求直线l的方程;
(3)联立椭圆和直线的方程,利用判别式大于等于0,即可求得结论.
解答:解:(1)设双曲线的焦点为(±c,0)(c>0),则椭圆C的方程为,其中c2=a2+b2
代入,可得椭圆C的方程为
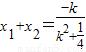
(2)根据题意,设点A,B的坐标分别为(x1,y1),(x2,y2),则|x1|:|x2|=2:1,可知.
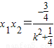
联立椭圆和直线的方程,得,消元得,可知,即x1与x2异号,所以x1=-2x2
代入上式,得,消元,得
所以直线方程为
(3)联立椭圆和直线的方程,得方程组,其中c2=b2+1
消去y,可得(+)x2++-1=0
∴△=
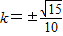
解得b2≥12,所以c2≥13,当且仅当时长轴长最短,是
点评:本题考查椭圆的方程,考查直线与椭圆的位置关系,考查韦达定理的运用,属于中档题.
练习册系列答案
相关习题

科目:高中数学 来源: 题型:

(2013•浦东新区二模)(1)设椭圆C1
x2
a2
+
y2
b2
=1
与双曲线C29x2-
9y2
8
=1
有相同的焦点F1、F2,M是椭圆C1与双曲线C2的公共点,且△MF1F2的周长为6,求椭圆C1的方程;
我们把具有公共焦点、公共对称轴的两段圆锥曲线弧合成的封闭曲线称为“盾圆”.
(2)如图,已知“盾圆D”的方程为y2=
4x            (0≤x≤3)
-12(x-4)  (3<x≤4)
.设“盾圆D”上的任意一点M到F(1,0)的距离为d1,M到直线l:x=3的距离为d2,求证:d1+d2为定值; 
(3)由抛物线弧E1:y2=4x(0≤x≤
2
3
)与第(1)小题椭圆弧E2
x2
a2
+
y2
b2
=1
2
3
≤x≤a
)所合成的封闭曲线为“盾圆E”.设过点F(1,0)的直线与“盾圆E”交于A、B两点,|FA|=r1,|FB|=r2且∠AFx=α(0≤α≤π),试用cosα表示r1;并求
r1
r2
的取值范围.

查看答案和解析>>

科目:高中数学 来源: 题型:

已知椭C:
x2
a2
+
y2
b2
=1(a>b>0)的离心率为
1
2
,椭圆的短轴端点与双曲线
y2
2
-x2
=1的焦点重合,过P(4,0)且不垂直于x轴直线l与椭圆C相交于A、B两点.
(Ⅰ)求椭C的方程;
(Ⅱ)求
OA
OB
的取值范围.

查看答案和解析>>

科目:高中数学 来源: 题型:

(本小题满分13分)

  如图,已知椭圆的离心率为,以该椭圆上的点和椭圆的

  左、右焦点为顶点的三角形的周长为.一等轴双曲线的顶点是该椭

  圆的焦点,设为该双曲线上异于顶点的任一点,直线与椭圆的交点

  分别 为

   (Ⅰ)求椭圆和双曲线的标准方程; 

   (Ⅱ)设直线的斜率分别为,证明

   (Ⅲ)是否存在常数,使得恒成立?

      若存在,求的值;若不存在,请说明理由.

                                                             

查看答案和解析>>

科目:高中数学 来源:2012-2013学年上海市浦东新区高三4月高考预测(二模)理科数学试卷(解析版) 题型:解答题

(1)设椭圆与双曲线有相同的焦点是椭圆与双曲线的公共点,且的周长为,求椭圆的方程;

我们把具有公共焦点、公共对称轴的两段圆锥曲线弧合成的封闭曲线称为“盾圆”.

(2)如图,已知“盾圆”的方程为.设“盾圆”上的任意一点的距离为到直线的距离为,求证:为定值;

 

(3)由抛物线弧)与第(1)小题椭圆弧)所合成的封闭曲线为“盾圆”.设过点的直线与“盾圆”交于两点,),试用表示;并求的取值范围.

 

查看答案和解析>>

科目:高中数学 来源: 题型:解答题

(1)设椭圆C1数学公式与双曲线C2数学公式有相同的焦点F1、F2,M是椭圆C1与双曲线C2的公共点,且△MF1F2的周长为6,求椭圆C1的方程;
我们把具有公共焦点、公共对称轴的两段圆锥曲线弧合成的封闭曲线称为“盾圆”.
(2)如图,已知“盾圆D”的方程为数学公式.设“盾圆D”上的任意一点M到F(1,0)的距离为d1,M到直线l:x=3的距离为d2,求证:d1+d2为定值;
(3)由抛物线弧E1:y2=4x(0数学公式)与第(1)小题椭圆弧E2数学公式数学公式)所合成的封闭曲线为“盾圆E”.设过点F(1,0)的直线与“盾圆E”交于A、B两点,|FA|=r1,|FB|=r2且∠AFx=α(0≤α≤π),试用cosα表示r1;并求数学公式的取值范围.

查看答案和解析>>

同步练习册答案