精英家教网 > 高中数学 > 题目详情

求下列定积分.

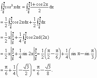
答案:略
解析:

 


提示:

解析:正确选择被积函数的原函数,再运用微积分基本定理求解.


练习册系列答案
相关习题

科目:高中数学 来源: 题型:

求下列定积分:
2
1
(e2x+
1
x
)dx

查看答案和解析>>

科目:高中数学 来源: 题型:

(1)求抛物线y2=x与直线x-2y-3=0所围成的图形的面积.
(2)求下列定积分 
π
2
0
(2sinx+cosx)dx.

查看答案和解析>>

科目:高中数学 来源: 题型:

求下列定积分:
(1)
π
2
0
(2sinx+cosx)dx 
(2)
2
0
|x2-1|dx.

查看答案和解析>>

科目:高中数学 来源: 题型:

求下列定积分的值

(1) dx;

(2)已知f(x)=,求f(x)dx的值.

查看答案和解析>>

科目:高中数学 来源: 题型:

  求下列定积分

(1)        (2)         (3)

查看答案和解析>>

同步练习册答案